erstellt : 06.10.2003

top

 

A  B  C  D  E  F  G  H I  J  K  L M N  O  P  Q  R  S  T  U V W X Y Z

 

Abendrot

Das Abendrot wird durch ein Überwiegen des Rotanteils im Sonnenlicht hervorgerufen. Bei tiefem Sonnenstand wird der Weg des Sonnenlichtes durch die Atmosphäre länger. Da der kurzwellige (blau, grün) Wellenlängenbereich stärker durch Streuung an Luftmolekülen, Dunstteilchen und Aerosolen gefiltert wird, bleibt zuletzt nur noch der längerwellige rote Anteil übrig.

 

Absolute Feuchte , Dampfdichte

Die absolute Luftfeuchtigkeit ist ein Feuchtigkeitsmass, das die Masse Wasserdampf in einem Volumen feuchter Luft angibt. Die absolute Feuchte ist identisch mit der Dampfdichte. Da dieses Mass dichteabhängig ist, verändert es sich bei der vertikalen Verschiebung eines Luftpakets. Ein weiterer Nachteil ist, dass die absolute Luftfeuchtigkeit nicht messbar ist. 

Absorption 

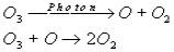
Absorption ist jene Wechselwirkung von Strahlung und Materie, bei der die Strahlungsenergie von der Materie aufgenommen und in eine andere Energieform umgewandelt wird. So können Moleküle mit Hilfe der aufgenommenen Energie gespalten werden. Dies geschieht in der Ozonschicht, wo Ozon (O3) durch Strahlung mit Wellenlängen, die kleiner als 1.134µm sind, in zweiatomigen (O2) und einatomigen Sauerstoff (O) aufgespalten wird. Oder die aufgenommene Energie wird wieder emittiert. Durch das Absorptionsvermögen kann angegeben werden, wie schwarz ein Körper ist.

Absorption geschieht bei materialspezifischen Wellenlängen, den sogenannten Absorptionsbanden. Jedes Gas der Atmosphäre hat seine charakteristischen Absorptionsbanden. So sind es im Wesentlichen drei Gase, die im Spektrum des Sonnenlichts (kurzwelliges Licht) absorbieren: Ozon (O3), Kohlendioxid (CO2) und Wasserdampf (H2O).

 

Adiabatisch, diabatisch, feuchtadiabat, trockenadiabat

Ein Luftpaket unterliegt bei jeder Änderung seiner Ausgangshöhe einer Volum- und Druckänderung. Beim Aufstieg nimmt das Volumen zu (Expansion), der Druck fällt. Das Umgekehrte ist beim Absteigen (Kompression) der Fall. Solange mit der Umgebungsluft keine Wärme ausgetauscht wird, bleibt die innere Energie des Luftpakets konstant. Die Höhenänderung erfolgt adiabatisch. Jeder Prozess, der dem Luftpaket Wärme zuführt oder entzieht, ist ein diabatischer Prozess. A-diabatisch bedeutet somit "nicht-diabatischt."

Dank der Annahme, dass bei einer Vertikalbewegung von Luft keine Wärme mit der Umgebung ausgetauscht wird, kann angegeben werden, um wieviel Grad sich ein Luftpaket beim Aufstieg abkühlt: 1 Kelvin pro 100 Meter. Dies ist der trockenadiabatische Temperaturgradient. Er gilt, solange das Luftpaket nicht mit Wasserdampf gesättigt ist und keine Kondensation stattfindet.

Sobald die Luft aber mit Wasserdampf gesättigtt ist, kondensiert ein Teil des Wassers. Dabei wird Wärme frei, welche die Luft erwärmt. In diesem Fall gilt der feuchtadiabatische Temperaturgradient. Dieser liegt zwischen 0.4K/100m (bei hoher Luftfeuchtigkeit) und 1K/100m (bei tiefer Luftfeuchtigkeit).

Ein gutes Beispiel zur Illustration von trockenadiabatischen und feuchtadiabatischen Prozessen ist der Föhn.

 

Advektion

Advektion (vom lat.: advehi = heranbewegen) bedeutet heranführen von Luftmassen. Man meint damit beispielsweise das Heranführen von feuchterer Luft, oder wärmeren bzw. kühleren Lufmassen. Im Speziellen spricht man von Warmluftadvektion oder Kaltluftadvektion. Advektion geschieht dann, wenn der Wind mindestens teilweise in Richtung des Gradienten weist.

 

Aerosol

Unter dem Aerosol versteht man die in der Luft schwebenden festen oder flüssigen Teilchen. Sichtbar wird das Aerosol als Dunst, der die Atmosphäre trübt. Es setzt sich zusammen aus natürlichen organischen Anteilen: Pollen, Sporen, Bakterien natürlichen anorganischen Anteilen: Staub, Rauch, Seesalz vom Mensch eingebrachten Anteilen: Diverse Verbrennungsprodukte wie Rauch, Asche oder Stäube.Die Konzentration des Aerosols nimmt mit der Höhe ab, in 10 km Höhe findet man nur noch einen Zehntausendstel des Bodenwertes von etwa 2·10-6 kg Aerosol pro kg Luft. Vulkanausbrüche können besonders hohe Aerosolkonzentrationen verursachen, die sich sogar auf das Klima auswirken. So besagt eine Theorie (der vielen) zum Aussterben der Dinosaurier, dass ein Vulkanausbruch die Sonne so stark verdunkelte, dass die Nahrungsproduktion (Pflanzenwuchs) stark eingeschränkt wurde und die Dinosaurier darum verhungerten.

 

Altweibersommer

Der Altweibersommer ist das europäische Analogon zum Indian Summer in Nordamerika: man bezeichnet damit eine häufig im Zeitraum von Mitte bis Ende September auftretende stabile Hochdruckwetterlage über Mitteleuropa, die durch vornehmlich südöstliche, trocken-warme Winde gekennzeichnet ist. Typisch sind auch die morgendlichen Nebelfelder in den Flußniederungen, die sich durch die noch ausreichend starke Sonneneinstrahlung vormittags auflösen.

 

Antizyklone ,Hoch und Hochdruckgebiet

Gebiet relativ hohen Luftdrucks. Das Zentrum dieses Gebietes weist dabei den höchsten Luftdruck auf und ist von mindestens einer geschlossenen Isobare umgeben. Manchmal wird auch der Begriff "Antizyklone" verwendet. Eine "Zyklone" ist ein Tief, also das Gegenstück zum Hoch.

Ein Hochdruckgebiet kann man sich als Lufthügel vorstellen. Die Luft, die diesen Hügel bildet, ist bestrebt, ihn auszugleichen, d.h. sie fliesst aus dem Hoch ab. Auf der Nordhalbkugel wird die Luft wegen der Corioliskraft nach rechts abgelenkt. Darum umströmt die abfliessende Luft das Hoch im Uhrzeigersinn. Auf der Südhalbkugel wird ein Hoch im Gegenuhrzeigersinn umweht, da dort die Corioliskraft nach links wirkt.

In einem Hoch herrscht Absinkbewegung. Absinkende Luft erwärmt sich adiabatisch, was zur Auflösung der Wolken führt.

In der warmen Jahreszeit bringt ein Hoch oft schönes Wetter. Im Verlauf des Tages können sich einige flache Cumuli bilden, die sich aber am Abend wieder auflösen. Im Winter dagegen hat die Absinkbewegung oft eine Bodeninversion zur Folge. Dies bedeutet, dass in Bodennähe kältere Luft liegt als in den darüberliegenden Schichten. So findet natürlich kein Luftaustausch zwischen den Luftschichten statt. In industriell genutzten Gebieten wird die bodennahe Schicht deshalb immer stärker verschmutzt, ohne dass die Luft ausgetauscht wird. Daraus kann sich dann der berüchtigte Smog bilden.

 

Arktikfront

Mit Arktikfront (arktikos (gr.) = nördlich) bezeichnet man in der Meteorologie die häufig frontartige, schmale Übergangszone zwischen der Arktikluft und der Polarluft.

Nach der Theorie der Bergener Schule sollte die Arktikfront an der Südgrenze der Arktikluft in etwa 65-75 nördlicher Breite die Arktis permanent umgeben. Die Beobachtungen zeigen aber, dass die Arktikfront nur relativ selten in bestimmten Bereichen an der Südgrenze der arktischen Luftmasse in Erscheinung tritt. Die Ursache dafür sind die geringen Unterschiede zwischen den Luftmasseneigenschaften der polaren und arktischen Luftmasse.

 

Atmosphäre  

Das Wort stammt aus dem Griechischen und ist zusammengesetzt aus "atmós" = Dampf, Dunst und "sphaira" = (Erd)kugel. Die Atmosphäre ist die gasförmige Hülle eines Himmelskörpers. Die Erdatmosphäre ist eine Lufthülle, bestehend aus verschiedenen Gasen, die für die Erde lebenswichtig ist, denn sie beeinflusst die Strahlungsbilanz der Erdoberfläche entscheidend. In ihr spielen sich wichtige physikalische Prozesse ab, die mit " Wetter und Klima" zusammengefasst werden können.

Die Erdatmosphäre lässt sich mit Hilfe des Temperaturverlaufs in vier verschiedene Schichten unterteilen:

 

Troposphäre:    Die Wetterschicht. Die Temperatur nimmt ab. Die Obergrenze ist die Tropopause.

Stratosphäre:    In dieser Schicht nimmt die Temperatur mit der Höhe wieder zu auf einen Wert von etwa 0° C an der Stratopause.

Mesosphäre:    Bis zur Mesopause sinkt die Temperatur auf -100° C.Thermosphäre: Die Temperatur steigt hier mit                           zunehmender Höhe an.

 

Atom 

Als Atome werden die chemisch kleinsten Teilchen der Elemente bezeichnet. Das Goldatom (chemisches Zeichen: Au) ist beispielsweise das kleinstmögliche Teilchen, das noch den Namen Gold trägt. Der unterschiedliche innere Bau der Atome ist der Grund dafür, dass es verschiedene chemische Elemente gibt. Atome bestehen aus Elektronen (negative Ladung), Protonen (positive Ladung) und Neutronen. Die Anzahl Protonen im Atomkern entscheidet über den Namen des Atoms. Wasserstoff (H) hat ein Proton, Sauerstoff (O) deren acht. Normalerweise weist ein Atom die gleiche Anzahl Elektronen auf wie Protonen (so ist das Atom weder positiv noch negativ geladen). In der Natur kommen aber auch Ionen vor, die eine Ladung haben: Positiv, wenn weniger Elektronen als Protonen im Atom sind, negativ bei erhöhter Elektronenzahl.Atome können sich zu Molekülen verbinden. Sauerstoff kommt höchst selten als einzelnes Sauestoffatom (O) vor, sondern meistens als O2 oder O3 (Ozon).

 

Azorenhoch

Das Azorenhoch ist ein Hoch mit Kern in der Nähe der Azoren. Es gehört zum subtropischen Hochdruckgürtel. Die Azoren sind eine portugiesische Inselgruppe im Atlantik.

 

Barometer  top

Ein Barometer ist ein Messgerät zur Bestimmung des Luftdrucks, das von Torricelli zuerst angewendet wurde. Es gibt verschiedene Möglichkeiten, den Druck zu bestimmen. Man kann die Verformung einer luftdicht abgeschlossenen Blechdose messen (bei hohem Luftdruck wird sie mehr zusammengedrückt als bei tiefem, Grafik Figur a). Die Verformung kann mit einem Zeiger auf einer Skala angezeigt werden. Oder man füllt ein Gefäss mit einer Flüssigkeit und taucht das offene Ende eines auf einer Seite verschlossenen Rohres senkrecht in die Flüssigkeit (Grafik Figur b). Erhöht sich nun der Luftdruck, wird die Oberfläche der Flüssigkeit etwas nach unten gedrückt, was zur Folge hat, dass die Flüssigkeit im Rohr steigt. Meist wird als Flüssigkeit Quecksilber (chem. Zeichen: Hg) verwendet. Am Rohr kann man eine Skala anbringen, auf der der Luftdruck abgelesen werden kann.

Es gibt verschiedene Einheiten, mit denen der Druck angegeben werden kann:

In SI-Einheiten:

1 N/m2 = 1 Pa

In der Meteorologie:

hPa, wobei 1 hPa = 100 Pa

Ältere Einheiten:

1 mbar = 1 hPa

Weitere Einheiten:

1 bar = 10^5 Pa
1 atm = 101 325 Pa 760 mmHg
1 torr 133.322 Pa

Wetterprognosen mit Druckmessgeräten

Die Druckwerte der älteren mechanischen Barometer waren (gemäss Standard-Atmopshäre) fest einem bestimmten Wettertyp zugeordnet, was natürlich nur in wenigen Fällen mit dem aktuellen oder zukünftigen Wettergeschehen übereinstimmt. Der bei uns herrschende absolute Luftdruck sagt wenig über die vertikale Luftbewegung bei uns aus; erst beim Vergleich mit dem Druck in der näheren und weiteren Umgebung können wir auf den Grad der Hebung bzw. auf eine allfällige Wetterbesserung oder -Verschlechterung bei uns schliessen.

Bsp: Ein Luftdruck von 1005 hPa ist im Prinzip gering. Wenn aber über den andern Gebieten Europas ein Druck von 990 hPa herrscht, liegen wir mit 1005 hPa dennoch im Hoch...

Neben dem Luftdruck spielt auch die Druckänderung eine Rolle, will man eine Aussage über die weitere Wetterentwicklung machen. Nicht zuletzt deshalb haben unsere Grossväter immer zu einem fixen Zeitpunkt auf's Barometer geklopft: Durch die leichte Erschütterung ist der Barometerzeiger vom alten Druckwert auf den aktuell herrschenden Druckwert gesprungen und die Grossväter konnten sich anhand der Verschiebung über die Druckänderung ins Bild setzen. Aber auch dies sagt nur wenig über die Wetterentwicklung aus...

Die modernen Wettergeräte reagieren auf Druckänderungen pro Zeiteinheit (und - je nach Fabrikat - auch noch auf Faktoren wie Feuchte, Temperatur). Aber auch diese Geräte kennen die Verhältnisse in der näheren und weiteren Umgebung natürlich nicht. Die Geräte selbst und ihre Messqualität können daher noch so gut sein - sie geben in den wenigsten Fällen die richtige Wetterentwicklung wieder. 

Die Beaufortskala  

Skala zur Bestimmung der Windstärke. Sie wurde vom englischen Admiral Sir Francis Beaufort (1774 - 1857) entwickelt.
Mit dieser Skala wird es möglich, die Windstärke aufgrund von Naturbeobachtung ohne Hilfsmittel zu bestimmen. Für die praktische Anwendung zur See ist die Skala völlig ausreichend. Die Luftfahrt verlangt jedoch genauere Angaben zur Windstärke.

Beaufort

Bezeichnung

Beschreibung

Seegang

0

Winstille,
calm

Keine Luftbewegung, Rauch steigt senkrecht.

Spiegelglatte See.

1

Leiser Zug,
light air

Windrichtung nur an ziehendem Rauch erkennbar.

Kleine schuppenförmig aussehende Kräuselwellen ohne Schaumkämme.

2

Leichte Brise,
light breeze

Wind im Gesicht fühlbar.

Kleine Wellen, noch kurz, aber ausgeprägter. Die Kämme sehen glasig aus und brechen sich nicht.

3

Schwache Brise,
gentle breeze

Blätter werden bewegt, leichte Wimpel gestreckt.

Die Kämme beginnen sich zu brechen. Schaum überwiegend glasig, ganz vereinzelt können weisse Schaumköpfe auftreten.

4

Mässige Brise,
moderate breeze

Kleine Zweige werden bewegt, schwere Wimpel gestreckt.

Wellen sind noch klein, werden aber länger. Weisse Schaumköpfe treten schon ziemlich verbreitet auf.

5

Frische Brise,
fresh breeze

Grössere Zweige werden bewegt; Wind im Gesicht schon unangenehm.

Mässige Wellen, die eine ausgeprägtere lange Form annehmen. Überall weisse Schaumkämme. Ganz vereinzelt kann schon Gischt vorkommen.

6

Starker Wind,
strong breeze

Grosse Zweige werden bewegt; Wind singt in der Takelage.

Die Bildung grosser Wellen beginnt; Kämme brechen und hinterlassen grössere weisse Schaumflächen; etwas Gischt.

7

Steifer Wind,
near Gale

Schwächere Bäume werden bewegt; fühlbare Hemmung beim Gehen gegen den Wind.

See türmt sich; der beim Brechen entstehende weisse Schaum beginnt sich in die Windrichtung zu legen.

8

Stürmischer Wind,
gale

Grosse Bäume werden bewegt, Zweige abgebrochen; beim Gehen erhebliche Behinderung.

Mässig hohe Wellenberge mit Kämmen von beträchtlicher Länge. Von den Kanten der Kämme beginnt Gischt abzuwehen. Der Schaum legt sich in gut ausgeprägten Streifen in die Windrichtung.

9

Sturm,
strong gale

Leichtere Gegenstände werden aus ihrer Lage gebracht; Schäden an Dächern.

Hohe Wellenberge; Dichte Schaumstreifen in Windrichtung; "Rollen" der See beginnt. Der Gischt kann die Sicht schon beeinträchtigen.

10

Schwerer Sturm,
storm

Bäume werden entwurzelt, Häuser beschädigt.

Sehr hohe Wellenberge mit langen überbrechenden Kämmen. See weiss durch Schaum. Rollen der See schwer und stossartig. Sicht durch Gischt beeinträchtigt.

11

Orkanartiger Sturm,
violent storm

Schwere Sturmschäden

Aussergewöhnlich hohe Wellenberge. Die Kanten der Wellenkämme werden überall zu Gischt zerblasen. Die Sicht ist herabgesetzt.

12

Orkan,
hurricane

Verwüstungen

Luft mit Schaum und Gischt angefüllt. See vollständig weiss. Die Sicht ist sehr stark herabgesetzt; jede Fernsicht hört auf.

  

Beaufort

  Knoten  

            km/h          

          m/sec         

1

  1 -  3 kn

    1.9 -     6.4 km/h

  0.5 -   1.8 m/sec

2

  4 -  6 kn

    6.5 -   12.0 km/h

  1.9 -   3.3 m/sec

3

  7 - 10 kn

  12.1 -   19.4 km/h

  3.4 -   5.4 m/sec

4

11 - 15 kn

  19.5 -   28.7 km/h

  5.5 -   7.9 m/sec

5

16 - 21 kn

  28.8 -   39.8 km/h

  8.0 - 11.0 m/sec

6

22 - 27 kn

  39.9 -   50.9 km/h

11.1 - 14.1 m/sec

7

28 - 33 kn

  51.0 -   62.0 km/h

14.2 - 17.2 m/sec

8

34 - 40 kn

  62.1 -   75.0 km/h

17.3 - 20.8 m/sec

9

41 - 47 kn

  75.1 -   87.9 km/h

20.9 - 24.4 m/sec

10

48 - 55 kn

  88.0 - 102.8 km/h

24.5 - 28.5 m/sec

11

56 - 63 kn

102.9 - 117.6 km/h

28.6 - 32.6 m/sec

12

> 63 kn

> 117.6 km/h

> 32.6 m/sec

 

 

Bergeron-Findeisen-Prozess  

Die Bergeron-Findeisen-Theorie beschreibt die Entstehung von grossen Tropfen in Wolken. Voraussetzung ist ein Gemisch von Wassertröpfchen und Eis in einer Wolke. Über Eis herrscht der geringere Sättigungsdampfdruck als über Wasser gleicher Temperatur. Während über Eis die Luft schon gesättigt ist und zu kondensieren beginnt, kann über dem Wassertropfen der gleichen Temperatur noch Wasser verdunsten. Der Wasserdampf geht also von den Tröpfchen zum Eis, die Eiskristalle wachsen. Wenn sie genügend gross sind, beginnen sie zu fallen, kommen in wärmere Luftschichten und schmelzen zu Tropfen. Dieser Prozess wird Bergeron-Findeisen-Prozess genannt.

  

Bergwind  

Talabwärts gerichtete Luftströmung .

 

Bise

Bise ist ein kalter und trockener Nord- bis Nordostwind im Schweizer Mitelland. "Bise" ist also eine Schweizer Erfindung. Sie tritt bei Hochdruckwetterlagen auf. Im Gegensatz zum Föhn überströmt die Bise kein Gebirge. Bise ist darum weniger turbulent. Im Sommer ist die Bise meist mit heiterem Wetter verbunden, während sie im Winter oft zu Hochnebel führt: Sowohl im Winter als auch im Sommer führt die Bise kühle Luft an die Alpen heran, die sich dort staut und einen Kaltluftsee im Mittelland bilden kann. Im Winter ist die nächtliche Abstrahlung der Erde (und damit die Abkühlung der Luft) gross, verglichen mit der Sonneneinstrahlung während des Tages. Da die Temperatur in der Nacht den Taupunkt erreicht, kann sich Nebel bilden. Im Winter ist die Einstrahlung während des Tages aber zu schwach, um den Nebel wieder aufzulösen. Zudem kann der Nebel sich selber erhalten, indem er tagsüber die Temperatur der Gebiete tiefhält, die er bedeckt. Oft geht der Hochdruckwetterlage mit Bise eine Advektion von warmer Luft voraus, die eine zähe Advektionsnebelschicht aufbaut.

 

Blitz und Donner  

Die Teilchen in einer Gewitterwolke werden durch starke Auf- und Abwinde durch die Wolke gewirbelt. Dabei prallen die Teilchen zusammen und werden elektrisch aufgeladen. Die kleinen und leichteren, meist positiv geladenen Teilchen sammeln sich im oberen Teil der Wolke an, die schweren negativ geladenen Partikel im unteren Teil. Innerhalb der Wolke und als Folge auch zwischen Wolke und Erde baut sich ein Spannungsfeld von einigen hundert Millionen Volt auf, das sich schliesslich mit einem gewaltigen und "blitzschnellen" Kurzschluss entlädt.

Die Luft im Blitzkanal erhitzt sich dabei innert Sekundenbruchteilen auf rund 30'000° Celsius, wodurch sie sich explosionsartig ausdehnt. Diese Ausdehnung pflanzt sich in Form von Schallwellen fort (Schallwellen sind im Prinzip nichts anderes, als "mechanisch" erzeugte Wellen in der Luft, die unser Trommelfell anregen und bei entsprechender Frequenz und Intensität demzufolge als "Geräusch" vom menschlichen Ohr wahrgenommen werden.) Die explosionsartige Ausdehnung der Luft wird als lauter Donnerknall (oder in grosser Entfernung als dumpfes Donnergrollen) gehört.Das Licht des Blitzes verbreitet sich in der Luft mit 300'000 km/Sekunde (Lichtgeschwindigkeit), die Schallwellen dagegen nur mit rund 300 Meter/Sekunde. Aus der Zeitdifferenz zwischen dem Erkennen des Lichtblitzes und dem nachfolgenden Donner kann somit die Distanz des Gewitters berechnet werden. (Die Anzahl Sekunden zwischen gesehenem Blitz und gehörtem Donner multipliziert man mit der Schallgeschwindigkeit 300 Meter pro Sekunde. Damit erhält man eine Schätzung der Distanz zum Gewitter) Weltweit gibt es täglich etwa 45'000 Blitze. Jeder von ihnen erzeugt Stromstärken von mehreren 100'000 Ampère. Der Maximalstrom während eines Blitzschlages fliesst jedoch nur während einigen wenigen Millionsteln einer Sekunde, weshalb ein Blitz trotz seiner ungeheuren Leistung von 10 Milliarden Kilowatt (Produkt von Spannung und Stromstärke) letztlich nur wenige Kilowattstunden elektrische Energie liefert.

 

Blizzards, Burane, Pamperos und Yamase 

Es handelt sich bei allen vieren um Winde, die mit heftigen Kaltlufteinbrüchen einhergehen. Vom Blizzard ist Nordamerika betroffen. Blizzardwarnung wird ausgegeben, wenn zu erwarten ist, dass Winde mit mehr als 15.5 m/s und heftiger Schneefall die Sichtweite unter 140 m herabsetzen. In Ostrussland und Sibirien heissen derartige Ereignisse Burane, die Südamerikaner nennen sie Pamperos und in Japan heissen sie Yamase. All diesen Gegenden ist gemeinsam, dass die Gebirge (die Rocky Mountains, die Anden, die japanischen Inseln) Nord-Süd verlaufen und damit den Winden aus der kalten Polarregion frei Bahn in die Subtropen geben, wo sie auf feuchtwarme Luft treffen. Südeuropa und Indien dagegen sind von den Alpen bzw. vom Himalaya geschützt.

Solch heftige Kaltlufteinbrüche bringen starken Schneefall oder vereisenden Regen. Damit kommt das öffentliche Leben oft zum Erliegen, weil Strassen unpassierbar werden und Telefon- und Stromleitungen unter der Eislast zusammenbrechen.

 

Celsius (C)   top

Anders Celsius (1701 -1744, schwedischer Astronome) führte diese Temperaturskala um 1742 ein. Er legte zwei Fixpunkte fest (bei einem Luftdruck von 1013.25 hPa): 0° Celsius (Schmelzpunkt des Wassers) und 100° Celsius (Siedepunkt des Wassers). Ernst C. von Linné drehte die Skala dann um, so dass heute der Schmelzpunkt mit 0° Celsius und der Siedepunkt mit 100° Celsius angegeben werden.

Die Skala wurde zwischen 0° C und 100° C in 100 gleiche Teile eingeteilt. Ein Teilstrich entspricht genau 1° C. Für Temperaturdifferenzen gilt 1° C = 1 K.

Die Umrechnung von Kelvin in Celsius geschieht über:


 

Corioliskraft  

Wenn sich ein Teilchen auf der drehenden Erde von einem Punkt zum anderen bewegt, wird es abgelenkt. Die Kraft, die dies bewirkt, wird Corioliskraft genannt (nach Gaspard Gustave de Coriolis, 1835). Auf der Nordhalbkugel lenkt sie ein bewegtes Teilchen nach rechts ab, auf der Südhalbkugel nach links. Für einen Beobachter, der sich nicht auf der drehenden Erde befindet, bewegt sich das Teilchen aber geradlinig durch den Raum. Es wird also nur bezüglich der Erdoberfläche nach rechts bzw. nach links abgelenkt, nicht aber gegenüber dem nicht mitdrehenden Beobachter.
Beispiel: Die Erde dreht sich in 24 Stunden einmal um ihre eigene Achse. Ein Punkt, der sich fix auf der Erdoberfläche am Äquator befindet, hat deshalb eine Drehgeschwindigkeit von 1669 km/h. Ein fixer Punkt am Nordpol hat die Drehgeschwindigkeit 0 km/h. Schauen Sie nun auf den Nordpol und die drehende Erde hinunter. In der Nähe des Nordpols läge ein Luftpaket, das sich bezüglich der Erdoberfläche nicht bewegt, also mit der Erde dreht. Diesem Paket geben Sie nun einen, so dass es sich nach Süden bewegt. Während es dies tut, dreht die Erdoberfläche unter ihm immer schneller, je näher es dem Äquator kommt. Das Luftpaket selber hat aber immer noch die gleiche kleine Drehgeschwindigkeit, die es am Nordpol hatte. Es wird, bezogen auf die Erdoberfläche, nach rechts abgelenkt und beschreibt auf der Erdoberfläche einen Bogen. Bezüglich des Randes der Grafik (der nicht mitdreht) und Ihnen als ortsfestem Beobachter beschreibt das Paket eine Gerade. Daraus wird deutlich, dass die Corioliskraft eine Scheinkraft ist (also keine Arbeit verrichtet), die nur im rotierenden System auftritt.

Druck  top

Der Druck wird definiert als Kraft pro Fläche. Man dividiert die Kraft, die senkrecht auf eine Fläche wirkt durch die Grösse dieser Fläche. Der Luftdruck wird mit Barometern gemessen. Gebräuchlich sind folgende Einheiten:  

In SI-Einheiten:

1N/m2 = 1 Pa

In der Meteorologie:

hPa, wobei 1 hPa = 100 Pa

Ältere Einheit:

1 mbar = 1hPa

Weitere Einheiten:

1 bar = 10^5 Pa = 100 000 Pa = 1000 hPa
1 atm = 101 325 Pa = 1013.25 hPa 760 mmHg
1 torr 133.322 Pa 1.33 hPa
1 mmHg =1 torr 133.322 Pa 1.33 hPa

 

Wie die Kraft (und damit der Druck) eines Gases zustande kommt, lässt sich am besten mit einer Gasflasche erklären: Die Gasteilchen in der Gasflasche bewegen sich mit einer Geschwindigkeit, die von der Temperatur abhängt. Ab und zu stösst ein Teilchen auf die Wand der Flasche und übt durch diesen Stoss eine Kraft auf die Wand aus. Der Druck in der Gasflasche kann mit folgenden Formeln angegeben werden:



(N = Anzahl Gasteilchen im Volumen V, k = Boltzmannkonstante = 1.38.10-23 J/K).
Oder für die Chemiker:



(n = Anzahl mol von Stoff, R = universelle Gaskonstante = 8.314J/K·mol)
Der Druck eines Gases ist also von der Temperatur und vom Volumen abhängig, das dem Gas zur Verfügung steht. Dies gilt natürlich auch für Luft. 

 

Dunst

Dunst ist eine deutlich erkennbare Lufttrübung in Bodennähe, wobei die Sichtweite noch mehr als 1 km beträgt. Es gibt feuchten Dunst (durch Wasserdampf verursacht) und trockenen Dunst (durch Staubteilchen und Schadstoffe verursacht).

 

Eisregen    top

Eisregen ist Regen, der sofort gefriert, wenn er mit dem Boden oder mit festen Gegenständen (z.B. Stromleitungen) in Berührung kommt. Dies geschieht bei Boden- und/oder Lufttemperaturen von unter 0 Grad Celsius. Auf Straßen entsteht dann gefährliches, meist völlig durchsichtiges Glatteis.

 

Eistag

Liegt die Höchsttemperatur an einem Tag nicht über 0°C, so spricht man in der Meteorologie von einem Eistag. Daher ist ein Eistag auch gleichzeitig ein Tag, an dem Dauerfrost herrscht.
Synonym: Frosttag

 

Elemente (chemische) 

Chemische Elemente sind die Grundbausteine, aus denen sich die gesamte Materie zusammensetzt. Ein Element besteht aus Atomen, die alle die selbe Anzahl Protonen im Kern aufweisen. Trotz der grossen Vielfalt unserer Welt, ist sie aus nur 90 natürlich vorkommenden Elementen aufgebaut. 90% der Masse der Erdkruste besteht aus füf Elementen:  

Element

chem. Zeichen

Anzahl Protonen im Kern

Sauerstoff

O

8

Silicium

Si

14

Aluminium

Al

13

Eisen

Fe

26

Calcium

Ca

20

 

Über 90% des menschlichen Körpers bestehen aus nur drei Elementen: Sauerstoff, Kohlenstoff, Wasserstoff.

 

Element

chem. Zeichen

Anzahl Protonen im Kern

Sauerstoff

O

8

Kohlenstoff

C

6

Wasserstoff

H

1

 

El Niño, Perustrom, Südpazifikhoch, Walker-Zirkulation und Wir  

Vor der Westküste Südamerikas gibt es den Perustrom, auch Humboldtstrom genannt. Dies ist eine Meeresströmung, die kühles Wasser von der Antarktis her bringt und dieses entlang der Küste Richtung Norden und dann entlang dem Äquator nach Westen in den Pazifik hinaus transportiert. Der Perustrom dreht also im Gegenuhrzeigersinn. Weil der Perustrom sich von der Küste wegbewegt, saugt er auch Tiefenwasser herauf an die Meeresoberfläche. Dieses Tiefenwasser ist reich an Nährstoffen wie Plankton für Kleinfische (Sardinen, Sardellen). Jedes Jahr etwa zur Weihnachtszeit wird aber das Oberflächenwasser von der hochstehenden Sonne stark erwärmt. Dieses Wasser bleibt an der Meeresoberfläche, da es warm ist und eine geringere Dichte aufweist als kühleres Wasser. Dadurch wird der Nachschub an nährstoffreichem Tiefenwasser verringert. Die Population der Kleinfische wird dezimiert. Für die Grossfische wird so die Nahrung knapp. Darum klagen die örtlichen Fischer zu dieser Zeit über kleine Erträge. Sie nennen diese Zeit "El Niño", was etwa soviel heisst wie "Kindchen" oder "Weihnachtskindchen". Das warme Wasser zieht sich aber nach einigen Wochen wieder zurück (wenn die Sonne wieder weiter nördlich steht), die Fischerträge steigen wieder an.

Etwa alle drei bis elf Jahre (im Durchschnitt alle sieben Jahre) bleibt aber das warme Wasser ein ganzes Jahr in der Region. Die Meteorologen sprechen dann von einem "El-Niño-Jahr".

Alle diese Tatsachen würden die Meteorologen wenig kümmern, wenn nicht die Ozeane eng mit der Atmosphäre verknüpft wären. Über dem Pazifik, vor der Küste Südamerikas, finden wir das ganze Jahr über ein Hochdruckgebiet (wie übrigens vor der Westküste jedes Kontinents). Da wir auf der Südhalbkugel sind, wehen die Winde im Gegenuhrzeigersinn um dieses südpazifische Hoch (Corioliskraft). Sie haben also die selbe Richtung wie der Perustrom. Ein starkes südpazifisches Hoch kann so den Perustrom verstärken, ein schwaches Hoch verstärkt ihn etwas weniger stark. Bei starkem Hoch kann der Perustrom mehr kaltes Wasser aus der Antarktis bringen, die Chancen für ein El Niño Jahr stehen schlecht. Ist das südpazifische Hoch aber schwach, wehen also schwache Winde, ist auch der Perustrom schwächer. Das Oberflächenwasser wird bereits weiter südlich erwärmt, ein El-Niño-Jahr wird möglich.

Dies ist aber noch nicht alles. Es gibt eine weitere Zirkulation über dem Äquator, die Walker-Zirkulation: Da der Perustrom normalerweise kaltes Wasser aus der Antarktis an den Äquator bringt, ist der Pazifik dort im Osten (Amerika) kühler als im Westen (Asien). Dies hat zur Folge, dass auch die Atmosphäre am Äquator über dem Ostpazifik kühler ist als im Westen. Die Luft sinkt also im Osten eher ab, fliesst über das Meer nach Westen und steigt dort wieder auf. In der Höhe fliesst sie dann wieder zurück nach Osten. Diese Zirkulation wird Walker-Zirkulation genannt.

Um die Zusammenhänge etwas zu beleuchten, hier zwei Beispiele:

Angenommen, das Südpazifikhoch sei stark, der Perustrom bringt also viel kaltes Wasser in die Äquatorregion (Ein El-Niño-Jahr ist nicht möglich). Dann ist der Temperaturunterschied zwischen Ost und West grösser, die Walker-Zirkulation also stärker.

Ist das Südpazifikhoch schwach, bringt der Perustrom wenig kaltes Wasser vom Südpol, ein El-Niño-Jahr wird möglich. Der Temperaturunterschied zwischen Ost und West ist klein, also ist die Walker-Zirkulation schwächer. Dies hat zur Folge, dass im Westpazifik die Luft weniger stark aufsteigt. Nun gibt es entlang dem Äquator die ITC (Innertropische Konvergenzzone). Dies ist ein Bereich mit mächtiger Konvektion (wegen starker Sonneneinstrahlung) und täglichen Niederschlägen. Die ITC schwankt entsprechend der Jahreszeit um den Äquator (im Juli liegt sie nördlich des Äquators, im Januar südlich davon). Wenn die Luft aber, wie in unserem Beispiel, im Westen weniger stark aufsteigt, sind auch die Regenfälle schwächer oder es kommt gar nicht zu Regen. Dies hat Dürre zur Folge, die zur Ausbreitung der von Menschen gelegten Waldbränden führt, so geschehen im Spätsommer 1997 in Malaysia.

Auch Australien muss sich in solchen Situationen für eine Dürre bereit machen: Wenn die ITC im Dezember und Januar über Nordaustralien liegt und sie schwach ist (da gerade ein El-Niño-Jahr zu Ende geht), kann die Situation für die dortige Landwirtschaft kritisch werden.

Es kann aber auch am Ostpazifik zu Katastrophen kommen. Wie gesagt, die Luft sinkt vor Südamerika eher ab. Wenn die Walker-Zirkulation schwach ist, ist auch diese Absinkbewegung eher schwach. Dies bedeutet, dass die Konvektion der ITC stark wird, was mit verstärkten Niederschlägen verbunden ist. Wenn die ITC nun im Januar über Nord-Peru liegt und gerade ein El-Niño-Jahr ist, kommt es zu Überschwemmungen.

Walker-Zellen gibt es um die ganze Erde entlang dem Äquator, also auch über Afrika, ganz in unserer Nähe. Und alle Zellen sind miteinander gekoppelt. Der Perustrom allein hat keinen unmittelbaren Einfluss auf unser mitteleuropäisches Wetter. Wenn aber der Perustrom zusammen mit dem Südpazifikhoch und der Walker-Zirkulation ein El-Niño-Jahr verursacht, kann dies durchaus Auswirkungen auf das Wetter in Mitteleuropa haben. Allerdings sind die Einflüsse des nahen Atlantiks wesentlich stärker und lassen die El-Niño-Signale verblassen. Es gibt auch für den Nordatlantik ein Modell: Die nordatlantische Oszillation NAO.

 

 

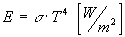
Emission

Jeder Körper, dessen Temperatur grösser als 0° K ist, sendet eine Strahlung aus, er emittiert Strahlung. Diese Emission ist stark von der Temperatur des Körpers abhängig:


Stefan-Bolzmann-Gesetz


Dies ist das "Stefan-Boltzmann-Gesetz" für schwarze Körper (Körper, die alle eintreffende Strahlung absorbieren) mit
E = emittierte Energie in Watt/m2
Sigma= Stefan-Boltzmann-Konstante = 5.67·10-8Watt/(m2K4)
T = Temperatur in K

Für die Erdoberfläche mit einer mittleren Temperatur von 288.15K ergibt sich eine Emission von 390.9W/m2.

Allerdings ist die Erde kein schwarzer Körper und absorbiert nicht die ganze eintreffende Strahlung. Man definiert deshalb die Emissivität Emissivität. Diese Grösse ist identisch mit dem Absorptionsvermögen. Für einen schwarzen Körper wäre sie 1.

 

Fahrenheit (F)     top

Einheit zur Angabe der Temperatur. Sie wurde von D.G. Fahrenheit um 1714 eingeführt. Er hat die Skala zwischen 212° F (Siedetemperatur des Wassers) und 32° F (Schmelztemperatur von Eis) in 180 gleichgrosse Teile eingeteilt. Der Nullpunkt entsprach der damals tiefsten erzeugten Temperatur. Ein weiterer Fixpunkt war die Körpertemperatur des Menschen (100° F).

Die Fahrenheit-Skala wird heute nur noch in Grossbritannien und in den USA verwendet.

Umrechnung von Celsius in Fahrenheit:



"C" steht für die Temperatur in ° Celsius, "F" für die Temperatur in ° Fahrenheit.
Umrechnung von Fahrenheit in Celsius:


 

Fluor-Chlor-Kohlen-Wasserstoffe (FCKW)  

FCKW sind künstlich hergestellte Gase oder Flüssigkeiten. Eine natürliche Entstehung gibt es nicht. FCKW werden als Kühlmittel, Treibgase oder Reinigungsmittel eingesetzt. FCKW können während Jahrzehnten in der Atmosphäre bleiben, bevor sie zerstört werden. Sie sind eine Quelle für Chlorradikale, die mit Ozon (O3) reagieren und wesentlich zum Abbau der Ozonschicht beitragen. In den achtziger Jahren hat man diese zerstörerische Wirkung erkannt. In vielen Ländern sind FCKW heute verboten.

 

Föhn  

Warmer und trockener Fallwind. Er entsteht oftmals im Vorfeld einer Kaltfront, die sich aus Westen den Alpen nähert. Wenn nämlich hinter der Front selbst hochreichende Kaltluft über Westeuropa hinweg weit genug nach Süden ausbricht, entsteht auf der Vorderseite dieses "Kaltlufttroges" zur Kompensation vielfach eine nach Norden gerichtete Strömung, die relativ milde aber recht feuchte Luft vom Mittelmeer zu den Alpen führt. Während der Alpensüdhang von immer dickeren Regenwolken eingehüllt wird, setzt in den nördlichen Alpentälern oftmals schlagartig kräftiger Wind ein, die Temperaturen machen innert Minuten einen enormen Sprung nach oben und zudem wird es deutlich trockener. Diese charakteristische Eigenschaften der Föhnluft sind nicht, wie früher angenommen, eine Folge der Reibung der Luft beim Herunterstürzen in die Talschaften der Nordseite.

Eine Theorie, die thermodynamische, basiert auf dem unterschiedlichen Temperaturverhalten der Luft bei vertikalen Bewegungen innerhalb und ausserhalb von Wolken. Wenn an Wasserdampf ungesättigte Luft am Alpensüdhang aufsteigt, kühlt sie sich trockenadiabatisch ab (1 Grad pro 100 Meter, vgl. Grafik, Kurve 1). Durch die stetige Abkühlung steigt aber die relative Feuchte des Luftpaketes. In einer bestimmten Höhe (z.B. 1000 Meter über Grund, vgl. Grafik) ist der Sättigungspunkt erreicht: Der Wasserdampf kondensiert, und es bilden sich Wolken. Auf dieser Höhe liegt die Wolkenbasis. Beim weiteren Aufsteigen kühlt sich die Luft nun feuchtadiabatisch ab (durch den Kondensationsprozess wird Wärmeenergie freigesetzt, die Luft kühlt sich nur noch rund 0.6ºC pro 100 Meter ab). (vgl. Kurve 2, feuchtadiabatischer Temperaturgradient). Beim Absinken der Luft in die Föhntäler des 

Nordens geschieht genau das Umgekehrte, durch den Regen hat die Luft aber einen Teil ihrer Feuchtigkeit im Süden deponiert. Sie ist im Norden daher wesentlich trockener, und somit ist auch die Wolkenbasis deutlich höher. Und genau diese Differenz machts aus: In unserem Beispiel gewinnt die Luft nördlich des Alpenkammes beim Absinken von 3000 auf 1000 Meter alle 100 Meter rund 0.4º C an Wärme (vgl. Kurve 3) und ist daher - in unserem Beispiel - im Norden 8º C wärmer als im Süden (0.4º C x 20 = 8º C).

Bei Vertikalbewegungen eines Luftpaketes ausserhalb von Wolken beträgt seine Abkühlung (bei Hebung) bzw. seine Erwärmung (beim Absinken) ca. 1º C pro 100 Meter Höhendifferenz (trockenadiabatischer Temperaturgradient). Innerhalb von Wolken dagegen ist der Wärmegewinn bzw. -Verlust nur rund 0.6º C pro 100 Meter (feuchtadiabatischer Temperaturgradient). Dank höherer Wolkenbasis im Norden gewinnt die Föhnluft daher deutlich an Wärme.

Die thermodynamische Theorie vermag aber die starken Fallwinde nicht zu erklären. Ein anderes Modell aus der Flachwasserdynamik bietet da mehr: Wenn Wasser über ein Hindernis strömt, wirken im Wesentlichen zwei Kräfte: Die Schwerkraft (das Wasser wird von der Erde angezogen) und die Trägheitskraft. Man kann nun zwischen zwei Regimes unterscheiden. Beim Superkritischen Fliessen ist die Trägheitskraft dominierend. Kinetische Energie wird am Hinderniss in potentielle Energie umgewandelt (d.h. das Wasser strömt langsamer, hat aber am Gipfel potentielle Enrgie, die es befähigen, wieder hinunter zu stürzen und schneller zu fliessen, also nach dem Hindernis wieder mehr kinetische Energie zu haben). Beim Subkritischen Fliessen dominiert die Schwerkraft. Über dem Hindernis fliesst das Wasser schneller, potentielle Enrgie wird in kinetische Energie umgewandelt, die Dicke der Wasserschicht wird kleiner. Nach dem Hindernis wird die kinetische Energie zurück in potentielle Enregie verwandelt. Wenn über dem Hindernis eine genügend starke Beschleunigung erreicht wird und eine genügend grosse Abnahme der Dicke der Wasserschicht erfolgt (bei grossen Hindernissen möglich) kann ein Übergang von subkritischem zu superkritischem Fliessen geschehen. Da nun das Wasser am Lee-Hang superkritische ist, beschleunigt es sich und stürzt den Hang hinunter. Weil auf der ganzen Strecke über dem Hindernis potentielle Energie in kinetische verwandelt wird, werden starke Fallwinde im Lee produziert. Die Flüssigkeit passt sich auf der Leeseite möglicherweise durch einen hydraulischen Sprung wieder der Umgebung an und wechselt dadurch wieder zu subkritischem Fliessen. Zugegeben, in der Natur ist keine derart scharfe Grenze zu beobachten, wie sie zwischen Wasser und Luft zu finden ist. Aber man findet oft eine Inversion, also eine Grenze im Luv der Alpen, wenn im Lee Föhn herrscht. Konkret ist oft ein Kaltluftsee in der Poebene vorhanden. Unglücklicherweise ist es aber nicht die kalte Luft aus der Po-Ebene (also die Luft unter der Grenzschicht), die über die Alpen fliesst, sondern die Luft darüber. Die Theorie geht also nicht ganz auf: Einer der Gründe, warum immer noch intensiv am Phänomen Föhn geforscht wird.

 

Front  

Luftmassengrenze zwischen warmer und kalter Luft, die am Boden eine konvergente Linie bildet (Konvergenz: Zusammenströmen von Luft). Es gibt Kaltfronten, Warmfronten und Okklusionsfronten. Solche Frontensysteme sind eng mit Tiefdruckgebieten verknüpft.

Nach der Schönwetterphase mit Winden aus Süd-Ost folgt hohe Bewölkung in Form von Cirren (Ci). Diese verdichtet sich zu Cirrostratus (Cs), die Wolkenuntergrenze sinkt ab, grauer Stratus (St) prägt das Bild. Während die Winde über Süd nach Süd-West drehen, setzt gleichmässiger Regen ein, die vorherrschende Wolkenart ist nun der Nimbostratus (Ns). Sobald die Warmfront am Boden durchzieht, lässt der Regen nach, das Wetter heitert auf, es ist deutlich wärmer.

Nach der kurzen Aufhellung zeigen sich bereits die ersten Cirrocumuli am Himmel, aber diesmal verdichten sich die Wolken schneller und oft setzt schlagartig starker Niederschlag ein: Die Klatfront zieht durch. Hinter der Kaltfront lockert die Bewölkung schnell auf. Während vor der Kaltfront noch Winde aus Süd-West vorherrschten, bläst hinter der Front nun ein kühler Nord-West-Wind.

 

Fujitaskala

Tornados sind die heftigsten Windsysteme der Erde. Im Gegensatz zu "Hurricans", "Taifunen" oder "Orkanen", die einen Durchmesser von bis zu 1000 Kilometern erreichen, sind Tornados nur einige Dutzend bis einige hundert Meter breit.

Sie entstehen in gigantischen Gewitterwolken. Auf- und Abwinde verzahnen sich ineinander und bilden den gefährlichen, rotierenden Rüssel. Die so genannte Fujita-Tornado-Skala stuft die Wirbel je nach Windgeschwindigkeit und der damit verbundenen Schadenswirkung in sechs Klassen ein:

Die Fujita Tornado Skala
F-Skala
Windgeschwindigkeit
SCHADENSAUSWIRKUNG
 
mph
km/h
 
F0
<72
<116
leicht - leichte Schäden an Schornsteinen; einige abgebrochene Äste an Bäumen, flach wurzelnde Bäume können entwurzelt und Plakatwände beschädigt werden.
F1
73-112
117-180
mäßig - Dachbedeckungen und Dachziegel können wegfliegen und Wohnwagen umgeworfen werden; fahrende Autos können von der Straße abkommen
F2
113-157
181-251
stark - Dächer werden komplett vom den Grundmauern abgerissen; Wohnwagen werden vollständig zerstört; auch große Bäume werden entwurzelt; leichte Gegenstände können zu gefährlichen Geschossen werden
F3
158-206
252-330
verwüstend - Dächer und einige Wände werden von Häusern abgerissen; Züge entgleisen; die meisten Bäume in bewaldeten Regionen werden entwurzelt; auch schwere Fahrzeuge werden umgeworfen oder verfrachtet
F4
207-260
331-417
vernichtend - größere Konstruktionen mit schwacher Verankerung werden ein Stück weit vefrachtet; Autos werden umgeworfen; auch größere Gestände werden zu umherfliegenden Geschossen
F5
>261
>418
katastrophal - Holzhäuser werden aus ihren Fundamenten gerissen, über große Distanzen verfrachtet und in ihre Einzelteile zerlegt;

 

 

Gebietsniederschlag     top

Jede Niederschlagsmessung ist nur eine Punktmessung. Um zu erfahren, wie viel Niderschlag ein Gebiet (z.B. Einzugsgebiet einese Flusses) erhalten hat, müssen die Werte der Messpunkte auf die Gebietsfläche extrapoliert werden. Um beispilsweise Vorhersagen über den Abfluss eines Flusses machen zu können oder vor Hochwassern warnen zu können, muss der Gebietsniederschlag bekannt sein.

Es gibt diverse Methoden, die Punktwerte in Gebietswerte umwandeln. Bei allen Methoden ordnet man einem Regenmesser eine Flöche zu, für die der Punktwert gelten soll.

Ein weitere Möglichkeit liegt in der Niederschlagbestimmung mittels Radar oder Satelliten.

 

Geopotential, Geopotentialfläche

Bezeichnung für das Potential der Schwerkraft, gemessen durch die Hubarbeit, die zu leisten ist, um eine Masseneinheit von einem Höhenniveau auf ein höheres Niveau zu heben. Das Geopotential ist das Produkt aus Schwerebeschleunigung (in mittleren Breiten 9.81 m/s2) und der Höhe in Metern über Normalnull. Flächen gleichen Geopotentials heissen Geopotentialflächen.

  

Geostrophischer Wind

(Geo-strophisch = wegen der Erddrehung). Der geostrophische Wind ist eines der physikalischen Modelle für den Wind. Die Realität wird damit stark vereinfacht. Man nimmt nämlich an, dass die Isobaren Geraden wären. Der Wind weht dann parallel zu den Isobaren und die Zentrifugalkraft fällt weg. Wenn das Luftteilchen in Bewegungsrichtung schaut, so muss das Hoch rechts des bewegten Teilchens liegen, das Tief links (auf der Nordhalbkugel). Also wirkt die Druckgradientenkraft (P) nach links ins Tief hinein, die Corioliskraft (C) nach rechts zum Hoch. Die beiden Kräfte stehen im Gleichgewicht, heben sich also in ihrer Wirkung gerade auf.

  

Gewitter  

Damit Gewitterwolken mit Blitz und Donner entstehen können, muss innerhalb der Wolke eine starke Aufwärtsströmung herrschen (In kräftigen Gewitterwolken wurden Aufwinde mit Geschwindigkeiten von knapp über 30 m/sec = über 100 km/h) gemessen. Ideale Voraussetzungen für solch starke Vertikalbewegungen gibt es vor allem im Sommer, wenn der Boden und die bodennahe Luft stark aufgewärmt wird und dadurch von selbst in die Höhe steigt (Bildung von Quellwolken, die immer grösser werden und sich schliesslich zu Gewitterwolken entwickeln).

Grundsätzlich aber ist weniger die absolute Temperatur am Boden als viel mehr der Temperaturunterschied zwischen den unteren und den oberen Luftschichten in 5 bis 8 km Höhe ausschlaggebend dafür, ob sich die Luft nach oben in Bewegung setzt: Wenn die Temperatur mit zunehmender Höhe mehr als 0.6° pro 100 Meter abnimmt (feuchtadiabatischer Temperaturgradient), sind Gewitter unabhängig von der Jahreszeit im Prinzip möglich. Basierend auf diesem Temperaturgradienten kann es somit auch bei Bodentemperaturen von -10° C blitzen und donnern, sofern die Temperatur in 5 km Höhe unter -40° C zurückgeht (-10 - {0,6 x 50} = -40).

Selbstverständlich sind solch tiefe Temperaturen in 5 km Höhe eher selten, und daher sind Wintergewitter auch eher die Ausnahme. Im Sommer liegen die Temperaturen in 5 km Höhe im Mittel bei -15° C, und somit braucht's am Boden nur +15° C bis +20° C, damit sich ein währschaftes Gewitter entwickeln kann.

Gewitterwolken reichen vielfach bis an die Obergrenze der Troposphäre in rund neun Kilometern Höhe. Dort besteht die Wolke nur noch aus Eiskristallen. Die erwähnten starken Auf- und Abwinde vermögen selbst grössere Eispartikel mehrmals zu packen und wiederholt nach oben in kältere Bereiche zu schleudern. So wachsen sie immer mehr und können sich zu teils schweren Hagelkörnern entwickeln. (Für das Tropfenwachstum gilt ähnliches.)

Der Vollständigkeit halber sei noch erwähnt, dass neben dem Temperaturunterschied natürlich noch eine Menge anderer Faktoren über "Sein oder Nichtsein" von Gewittern entscheidet. Die sind aber unabhängig von der Jahreszeit.

  

Treibhauseffekt, Glashauseffekt

Der Treibhauseffekt (THE) beruht auf der Tatsache, dass die Atmosphäre aufgrund ihrer Zusammensetzung, d.h. aufgrund der Anwesenheit von Treibhausgasen für die kurzwellige Sonnenstrahlung viel durchlässiger ist als für die langwellige Ausstrahlung der Erde. Ein Teil der langwelligen Strahlung wird in der Atmosphäre absorbiert (und erwärmt diese dabei), und die Re-Emission, die natürlich zu gleichen Teilen nach "oben" wie auch nach "unten" gerichtet ist, führt zu einer Vergrösserung der langwelligen Einstrahlung am Boden. Der Treibhauseffekt ist keine neue Erfindung sondern trägt schon seit Jahrtausenden zur erheblich grösseren mittleren globalen Temperatur bei, als sie ohne Atmosphäre zu erwarten wäre: Die Temperatur ist um 33 K erhöht.

Was seit den 80er Jahren unter dem Begriff "Treibhausproblematik" gehandelt wirdt, ist eine Verstärkung des Treibhauseffekts. Der Mensch erhöht die Konzentration der Treibhausgase in der Atmosphäre und verstärkt damit den Glashauseffekt. Aber nicht jedes Gas hat die selbe Wirkung:

(Das spezifische Treibhauspotential gibt die Treibhauswirkung eines zusätzlichen Moleküls des betreffenden Treibhausgases, relativ zur Wirkung eines CO2-Moleküls.) 

Gas

Anteil am natürl. THE

Verweildauer in der Atmosphäre

spezifisches Treibhauspotential

Wasserdampf H2O

20.1° C

 

 

Kohlendioxid CO2

  7.2° C

6 - 10 Jahre

1

Ozon O3

  2.4° C

30 - 90 Tage

2000

Distickstoffoxid N2O

  0.8° C

150 - 200 Jahre

230

Methan CH4

  0.8° C

4 - 7 Jahre

32

FCKW

  0.03° C

50 - 100 Jahre

14000 - 17000

 

Die Wissenschaft versucht, die Klimaveränderung mit Modellen vorherzusagen. Die Problematik liegt in der Komplexität des Systems "Erde". Es gibt unzählige Rückkoppelungsmechanismen. Hier nur ein Beispiel: Steigt die Temperatur, schmilzt das Eis der Polargebiete. Damit sinkt die Albedo, die Erde reflektiert damit weniger Energie und nimmt mehr Energie auf, was die Temperatur weiter erhöht und noch mehr Eis schmelzen lässt.

  

Gradient

Der Gradient gibt die Änderung einer Grösse innerhalb einer Strecke an. Wenn beispielsweise die Temperatur auf einer Strecke von 10 m um 10° Celsius sinkt, beträgt der Temperaturgradient 1° Celsius pro Meter (10°C /10m). Der Gradient hat dabei nicht nur eine Grösse sondern auch eine Richtung. Er zeigt in der Meteorologie in die Richtung der grössten Änderung und zum grössten Wert hin. Bekannte Gradienten sind der erwähnte Temperaturgradient, der Druckgradient oder der Feuchtegradient.

Gradienten sind elementar in der Meteorologie. So ist beispielsweise der Druckgradient eine Ursache für den Gradientenwind. Die Stabilität der Atmosphäre wird auch mit Temperaturradienten angegeben. In einer Schicht kann beispielsweise der trockenadiabatische Temperaturgradient herrschen.

 

Graupel

Niederschlag in Form von kleinen, meist milchigen Eiskörnern mit einem Durchmesser von weniger als 0,5 cm nennt man Graupel. Graupel tritt meist als Schauerniederschlag nach dem Durchzug winterlicher Kaltfronten auf.

 

Großwetterlage

Als Großwetterlage bezeichnet man die durchschnittliche, mindestens 3 Tage lang andauernde Luftdruckverteilung über einem großen, kompakten Gebiet unserer Erde. Ein Beispiel dafür ist die Westlage mit Islandtief und Azorenhoch.
Das Bild zeigt beispielhaft eine typische Westwetterlage.

 

Hagel   top

Hagel ist Niederschlag bestehend aus Eiskügelchen oder -Kugeln. In Gewitterwolken mit starken Aufwinden können recht schwere Niederschlagspartikel gegen die Schwerkraft in der Luft gehalten werden. Die einzelnen Teilchen werden zum Teil mehrmals nach oben transportiert. Dabei fangen sie immer wieder unterkühltes Wasser ein, gefrieren und schmelzen beim Fallen wieder teilweise. Sind die Eiskugeln einmal genug schwer, fallen sie aus der Wolke. Da sie aber recht gross sind, schmelzen sie nicht vollständig bis sie am Boden ankommen. Dort treffen sie als Hagel auf. Hagelkörner können einen Durchmesser von über 10 cm erreichen. Ein Hagelkorn von 3 cm Durchmesser erreicht eine Fallgeschwindigkeit von 25 m/s (gegen 100 km/h). Damit können sie riesige Schäden anrichten an landwirtschaftlichen Kulturen und Infrastruktur.

Seit alters her hat man versucht, den Hagel zu verhindern. Einmal durch laute Knallerzeugung am Boden, dann durch Beschiessen der Wolken. Die bekannteste Methode ist jene mit Silberjodid. Dabei werden potentielle Hagelwolken mit Silberjodid geimpft (durch Raketen oder mit Flugzeugen). Die Silberjodid-Moleküle sollen als Keime dienen, an denen das unterkühlte Wasser gefrieren soll. Dadurch entstehen viele kleine Eispartikel statt wenige grosse. Ein umfangreicher Feldversuch der Eidgenössischen Technischen Hochschule (ETH Zürich) hat aber gezeigt, dass mit Impfung gleichviele Hagelschläge auftreten wie ohne Impfung. Es bleibt also nur der passive Hagelschutz: Die sogenannten Hagelnetze über landwirtschaftlichen Kulturen.  

 

Haloerscheinungen  

Haloerscheinungen sind optische Phänomene, die auf Brechung oder Spiegelung des Sonnenlichts an atmosphärischen Eiskristallen zurückzuführen sind. Bei der Brechung verläuft der Lichtstrahl zum Teil durch den Eiskristall. An den Grenzflächen Luft/Eis wird er leicht umgelenkt. Es werden aber nicht alle Wellenlängen des weissen Lichts gleich stark abgelenkt.

Es gibt unterschiedliche Haloerscheinungen .Am bekanntesten ist der kleine Ring , der einen Kreis um die Sonne mit einem Radius von 22° bildet. Häufig ist der kleine Haloring von zwei farbigen Flecken flankiert, die etwas ausserhalb des Ringes in Höhe der Sonne zu sehen sind. Sie heissen Nebensonnen . Voraussetzung für die Nebensonnen ist, dass die länglichen Schneekristalle überwiegend senkrecht ausgerichtet sind. Oft wird auch eine Lichtsäule beobachtet: Ein senkrechtes, oft spitz auslaufendes Lichtband oberhalb und unterhalb der Sonne. Bei tiefstehender Sonne kann die Lichtsäule intensiv feuerrot werden. Die Lichtsäule entsteht durch Spiegelung an den Aussenseiten von waagrecht liegenden Eiskristallen. Wenn sich das Sonnelicht an den Seitenflächen senkrecht stehender Eissäulen spiegelt, bildet sich der Horizontalkreis. Er verläuft durch Sonne und Nebensonnen. Der Horizontalkreis ist eher selten, da die Eissäulen selten senkrecht stehen. Auch recht selten kommt der Zirkumzenitalbogen vor, da er durch Brechung an senkrechten Eiskristallsäulen entsteht. Der obere und untere Berührungsbogen kommt dagegen recht oft vor. Sie ändern ihre Gestalt recht stark mit der Höhe der Sonne: Bei hochstehender Sonne schliessen sie sich mit dem Halo zusammen, bei tiefstehender Sonne gleichen sie eher einem Astpaar. Schliesslich sei noch der grosse Haloring erwähnt, der einen Kreis mit einem Radius von 46° um die Sonne bildet. Er entsteht durch Brechung an beliebig orientierten Eiskristallen.

 

Hangwind  

Tagsüber hangaufwärts (Hangaufwind), nachts hangabwärts (Hangabwind) wehender Wind, der bei einer ruhigen Strahlungswetterlage besonders gut ausgebildet ist.
Nach Sonnenaufgang wird die dem Berghang aufliegende Luft stärker erwärmt als die hangferne Luft und steigt dem Hang entlang auf, wobei es unter Einbeziehung feuchterer Talluft am Hang oder in Gipfelnähe schon im Laufe des Vormittags zur Wolkenbildung kommen kann.
Umgekehrt wird nachts die hangnahe Luft infolge der nächtlichen Ausstrahlung stärker abgekühlt als die in gleicher Höhe in der freien Atmosphäre befindliche Luft; sie fliesst wegen ihrer grösseren Dichte deshalb hangabwärts. Im Gebirge sind die Hangwinde Teilglieder der Berg- und Talwindzirkulation.  

 

Hekto-Pascal  

Hekto-Pascal (hPa) ist die Einheit, mit der die Meteorologen den Druck angeben. Die gemäss internationaler Vereinbarung (SI-Einheiten) wird in der Wissenschaft der Druck in Pascal (Pa) angeben. 1 hPa = 100 Pa .

 

Himmelsblau

Himmelsblau (azur) bezeichnet die blaue Farbe des Himmels die dadurch entsteht, daß der kurzwellige, blaue Anteil der Sonnenstrahlung an den Luftmolekülen erheblich stärker gestreut wird, als der langwellige, rote Anteil. Dieser Unterschied im Streuverhalten hängt damit zusammen, daß der Durchmesser eines Luftmoleküls bedeutend kleiner als die Wellenlänge des gestreuten Lichtes ist.

Unter dieser Voraussetzung ist die Streufunktion der 4. Potenz der Wellenlänge umgekehrt proportional. Mit abnehmender Wellenlänge steigt folglich der Anteil der gestreuten Strahlung.

 

Hoch, Hochdruckgebiet, Antizyklone  

Gebiet relativ hohen Luftdrucks. Das Zentrum dieses Gebietes weist dabei den höchsten Luftdruck auf und ist von mindestens einer geschlossenen Isobare umgeben. Manchmal wird auch der Begriff "Antizyklone" verwendet. Eine "Zyklone" ist ein Tief, also das Gegenstück zum Hoch.

Ein Hochdruckgebiet kann man sich als Lufthügel vorstellen. Die Luft, die diesen Hügel bildet, ist bestrebt, ihn auszugleichen, d.h. sie fliesst aus dem Hoch ab. Auf der Nordhalbkugel wird die Luft wegen der Corioliskraft nach rechts abgelenkt. Darum umströmt die abfliessende Luft das Hoch im Uhrzeigersinn. Auf der Südhalbkugel wird ein Hoch im Gegenuhrzeigersinn umweht, da dort die Corioliskraft nach links wirkt.

In einem Hoch herrscht Absinkbewegung. Absinkende Luft erwärmt sich adiabatisch, was zur Auflösung der Wolken führt.

In der warmen Jahreszeit bringt ein Hoch oft schönes Wetter. Im Verlauf des Tages können sich einige flache Cumuli bilden, die sich aber am Abend wieder auflösen. Im Winter dagegen hat die Absinkbewegung oft eine Bodeninversion zur Folge. Dies bedeutet, dass in Bodennähe kältere Luft liegt als in den darüberliegenden Schichten. So findet natürlich kein Luftaustausch zwischen den Luftschichten statt. In industriell genutzten Gebieten wird die bodennahe Schicht deshalb immer stärker verschmutzt, ohne dass die Luft ausgetauscht wird. Daraus kann sich dann der berüchtigte Smog bilden.

 

Innertropische Konvergenzzone, ITCZ     top

Die "Intertropical Convergence Zone" ist eine Zone um den Äquator, wo sehr starke Konvektion stattfindet. Grund für diese Konvektion ist die starke Erwärmung durch die Sonne. Die ITCZ würde man etwa dort erwarten, wo die Sonne am Mittag senkrecht über dem Erdboden steht. Tatsächlich liegt die ITCZ erst etwa einen Monat später da. Zudem wird die Lage der ITCZ durch die Kontinente modifiziert: Über Kontinenten kann die Luft stärker erwärmt werden, als über Ozeanen. Darum wird die ITCZ über Kontinenten jeweils stark in Richtung des Pols der jeweiligen Hemisphäre gezerrt.

Die ITCZ wird begrenzt durch die Passatwind-Zonen der beiden Hemispären. In der ITCZ fallen täglich ergiebige Niederschläge. Die starke Konvektion drückt die Tropopause nach oben.

 

Stabilität: stabil, instabil (= labil)  

Die Temperatur ändert in der Atmosphäre mit der Höhe; man sagt etwa auch, die Atmosphäre sei thermisch geschichtet. Dabei können im Wesentlichen drei Situationen eintreten:  

1)Absolute Instabilität (Kurve A): Ein Luftpaket, das trockenadiabatisch oder feuchtadiabatisch aufsteigt, ist sofort wärmer als seine Umgebung (die die Temperaturen auf Kurve A hat) und steigt darum weiter.

Bedingte Stabilität (Kurve B): Ein Luftpaket, das trockenadiabatisch aufsteigt, ist sofort kühler als seine Umgebung und sinkt darum gleich wieder ab. Ein Luftpaket, das aber feuchtadiabatisch aufsteigt, da es an Wasserdampf gesättigt ist, ist sofort wärmer als seine Umgebung und steigt darum weiter.

absolute Stabilität (Kurven C, D und E): Ein Luftpaket, das trocken- oder feuchtadiabatisch aufsteigt, ist sofort kühler als seine Umgebung und sinkt darum wieder ab.

Im Fall von Kurve D spricht man auch von isothermer oder neutraler Schichtung.

Die Atmosphäre kann gewöhnlich in verschieden Abschnitte unterteilt werden, für die die eine oder andere oben genannte Situation zutrifft.

Zweimal täglich werden weltweit an rund 900 Orten Radiosonden hoch gelassen zur Feststellung des Zustandes der Atmosphäre. Die Messgeräte, die an Ballonen hängen, messen unter Anderem auch die Temperatur, anhand der die Schichtung der Atmosphäre bestimmt werden kann.

 

 

Inversion 

Inverison wird der Zustand der Atmosphäre genannt, bei dem die Temperatur mit der Höhe zunimmt. Normalerweise nimmt die Temperatur mit zunehmender Höhe adiabat ab. Wenn in klaren Winternächten der Boden austrahlen und sich abkühlen kann, wird es möglich, dass sich die bodennahe Schicht auch abkühlt. Sie wird damit kälter als die darüberliegende Schicht.

Inversionen sind günstig für die Bildung des Smog, da die Luftmassen nicht ausgetauscht werden können. Ein aufsteigendes Luftpaket kühlt sich ab und ist sofort kälter als die Umgebung. Es beginnt darum gleich wieder mit dem Abstieg. Konvektion ist innerhalb der Inversionsschicht nicht möglich. 

 

Isolinien  

Isolinien (iso aus dem Griechischen: isos = gleich): Linien, die vor allem auf Karten benachbarte Punkte (Orte) mit gleichen Werten des betrachteten Merkmals (Bsp.: Temperatur, Feuchte, Druck, etc.) verbinden.

Isallo- (z.B. Isallobare)

zeitliche Änderung (z.B. des Luftdrucks)

Isentrope

potentielle Temperatur

Isobare

Druck, insbesondere Luftdruck

Isobronte

Gewitter (z.B. Auswahl der Gewittertage)

Isochione

Schneefall (z.B. Schneedeckendauer in Tagen)

Isochore

Volumen

Isochrone

Zeit (z.B. Eintrittszeit bestimmter Phänomene)

Isodense

Dichte (Luftdichte)

Isogone

Richtung, insbesondere Windrichtung

Isohaline

Salzgehalt (des Ozeans)

Isohelie

Sonnenscheindauer

Isohumide

Feuchte (Luftfeuchtigkeit)

Isohyete

Niederschlag

Isohypse

Höhe (von Isobarenflächen)

Isoluxe (Isophote)

Helligkeit

Isonephe

Bewölkung (Bedeckungsgrad)

Isoombre

Verdunstung

Isopotentiale

Geopotential

Isopykne

Dichte (Luftdichte)

Isotache

Geschwindigkeit (Windgeschwindigkeit)

Isotherme

Temperatur

Isovapore

Dampfdruck

  

Jetstream, Strahlstrom     top

Eine Region knapp unterhalb der Tropopause, in der sehr starke Westwinde wehen. Im Kern des Jets können Windgeschwindigkeiten von 500 km/h erreicht werden. Es gibt zwei Jetstreams pro Erdhalbkugel: Polarfrontjet und Subtropenjet. Sie verlaufen wellenförmig rund um die Erde. Während der Subtropenjet der Nordhalbkugel im Sommer konstant auf 40° Nord und im Winter ebenfalls konstant auf 30° Nord liegt, schwankt der Polarfrontjet von Tag zu Tag von 50° N bis 75° N.
In der Fliegerei werden die Jetstreams ausgenützt, um Treibstoff zu sparen und die Flugdauer zu verkürzen. Dies ist jedoch bloss bei Flügen von West nach Ost möglich. Bei entgegengesetzter Flugrichtung werden die Jets gemieden, da bloss Nachteile resultieren würden.

  

Joule (J)  

Joule ist die Einheit, in der Energie und Arbeit angegeben werden (Arbeit wird dann verrichtet, wenn ein Körper gegen eine Kraft verschoben wird). Joule wird aus den SI-Einheiten kg, m und s hergeleitet: J = kg·m2/s2 = N·m

 

Kaltfront    top

KaltfrontFront, der kalte Luft folgt. Die Abkühlung erstreckt sich dabei meist über die ganze Troposphäre. Tritt die Abkühlung nur in der Höhe ein, spricht man von einer Höhenkaltfront.

Es wird unterschieden zwischen aktiven und passiven Kaltfronten. In aktiven Kaltfronten nimmt die frontsenkrechte Windgeschwindigkeit mit der Höhe zu. Die Kaltluft eilt dadurch in der Höhe voraus. Es kommt zu Labilisierung und zu heftigen vertikalen Umlagerungen, verbunden mit heftigen Gewittern.

In passiven Kaltfronten nimmt der Wind mit der Höhe ab. Die Kaltluft schiebt sich keilförmig unter die Warmluft. Diese gleitet unter Bildung von Schichtbewölkung auf, es fällt verbreitet Niederschlag.

Vor allem im Winter kommen auch maskierte Kaltfronten vor. Diese treten dann auf, wenn eine bodennahe Kaltluft-Inversion vorliegt. Dieser Kaltluftsee kann durch die warme Luft des Warmsektors nicht beseitigt werden. Erst die nachfolgende Kaltfront kann dank ihrer Dynamik bis zum Boden durchgreifen. Wenn diese Kaltluft sich über dem wärmeren Meer schon etwas erwärmt hat, kann es sein, dass es hinter der Kaltfront tatsächlich wärmer wird.

Fronten sind oft mit typischer Bewölkung verbunden.  

 

Kaltluftadvektion  

Kaltluftadvektion bedeutet heranführen von kalter Luft. Aufgrund der Überlegungen mit dem thermischen Wind dreht der geostrophe Wind bei Kaltluftadvektion mit der Höhe im Gegenuhrzeigersinn (z.B.: auf 1500 m.ü.M. Nordwestwind, auf 5000 m.ü.M Westwind). Kaltluftadvektion in der Höhe bei gleichzeitig vorhandener Warmluft in der unteren Schicht bedeutet eine Labilisierung.

Kaltlufttropfen

Als Kaltlufttropfen bezeichnen Wetterkundler ein mehrere 100 bis etwa 1000 km großes Gebiet mit besonders kalter Luft in etwa 4000 bis 9000 m Höhe über dem Erdboden. Ein solcher Kaltlufttropfen ist gleichzeitig auch ein zählebiger Tiefdruckwirbel in der Höhe, der aber im Bodendruck nicht immer nachweisbar ist.

 

Kelvin (K)  

Vom britischen Physiker William Lord Kelvin of Largs eingeführte Temperaturskala. Er hat den Nullpunkt der Skala auf den absoluten Nullpunkt festgesetzt. Der absolute Nullpunkt liegt dort, wo die mittlere Bewegungsenergie aller Gasmoleküle auf null absinkt. Dies ist bei -273.15° Celsius der Fall. Kelvin ist eine SI-Einheit.

Für die Umrechnung gilt:

 


"C"; steht für die Temperatur in ° Celsius, "K" für die Temperatur in Kelvin.  

 

Klima  

Klima ist der mittlere Zustand der Atmosphäre, Hydrosphäre und Biosphäre an einem bestimmten Ort. Als minimaler Beobachtungszeitraum für aussagekräftige Daten wird 30 Jahre angegeben. So wird gewährleistet, dass sich die kurzfristigen Schwankungen des Wetters gegenseitig aufheben.

 

Klimatologie  

Klimatologie ist die Lehre vom Klima. Eines der Hauptprobleme der Klimatologie ist die Verfügbarkeit von Daten. Die längsten meteorologischen Messreihen beginnen frühstens in der Mitte des 19. Jahrhunderts. Um beispielsweise Klimaschwankungen erfassen zu können und miteinander vergleichen zu können, sind wesentlich lägere Datenreihen nötig. Darum bedient man sich sogenannter Proxydaten. Dies sind indirekt gewonnene Daten, beispielsweise aus der Untersuchung von Sedimenten, Eisbohrkernen aus Grönland oder von historischen Aufzeichnungen.

  

Koagulation  

Grosse Tröpfchen fallen schneller als kleine. Sie stossen darum mit den kleineren zusammen, wachsen also, indem sie die kleinen aufnehmen. Diesen Vorgang nennt man Koagulation.

  

Kondensation  

Kondensation ist die Verflüssigung von Gasen oder Dämpfen, besonders durch Abkühlung. Kondensation setzt Energie frei. Darum sinkt die Temperatur eines mit Wasserdampf gesättigten Luftpaketes beim Aufstieg weniger schnell, als die Temperatur eines trockenen Luftpaketes. Dies kommt beim Unterschied zwischen trockenadiabatischem und feuchtadiabatischem Temperaturgradient zum Ausdruck.

Wenn man ein Gas abkühlt, setzt man die Bewegungsgeschwindigkeit (und damit die Bewegungsenergie) der Gasmoleküle herab. Erreicht die Temperatur den Siedepunkt, wird die Bewegungsenergie so klein, dass die gegenseitige Anziehung der Moleküle stärker wird und sich das Gas verflüssigt. Die Energie, die beim Verdampfen gebraucht wurde, um Moleküle in eine derart starke Zitterbewegung zu versetzten, dass die gegenseitige Anziehung überwunden wurde und das Molekül frei wurde, wird nun wieder frei.

Der Vollständigkeit halber sei noch erwähnt, dass Gas auch durch eine Druckerhöhung zur Kondensation gebracht werden kann.

  

Konvektion  

In der Meteorologie meint man mit Konvektion das Aufsteigen von erwärmter Luft bei gleichzeitigem Absinken kälterer Luft in der Umgebung. Meist wird Konvektion durch Sonneneinstrahlung und Erwärmung des Bodens und der bodennahen Luft erzeugt. Erreicht die steigende Luft durch Abkühlung den Taupunkt, beginnen sich Wolken zu bilden. Konvektion mit Bildung von Quellwolken und Gewittern ist vor allem im Sommer zu beobachten. Konvektion kann auch entstehen, wenn sich kalte Luft in der Höhe über warme schiebt. Die warme Luft beginnt sofort zu steigen.

  

Kraft  

Jede beliebige Ursache, die den Ruhe- oder Bewegungszustand eines Körpers verändert, ist eine Kraft. Jede Kraft hat eine Stärke und eine Richtung. Sie berechnet sich als Kraft = Masse·Beschleunigung. Die Einheit, mit der die Kraft angegeben wird, ist Newton.

 

Kurzwellige Strahlung 

In der Klimatologie wird mit kurzwelliger Strahlung jene Strahlung gemeint, deren Wellenlänge kleiner als 3µm ist. Die Sonnenstrahlung liegt fast zu 100% im kurzwelligen Bereich, während die Abstrahlung der Erde im langwelligen Teil liegt. 

 

Landwind     top

Vom Land zum Meer (See) wehender Wind. 

 

Langwellige Strahlung  

Mit langwelliger Strahlung bezeichnet man in der Klimatologie Strahlung, deren Wellenlänge grösser als 3µm ist. Die Abstrahlung der Erde liegt im langwelligen Bereich, während die Sonne fast ausschliesslich kurzwellig strahlt.

  

La Niña  

(Die grundlegenden Mechanismen sind unter El Niño erklärt). "La Niña" wird der Zustand der grossräumigen Zirkulation im Pazifikraum genannt, wenn der Perustrom stark ist und auch das Subtropenhoch über dem Südostpazifik stark ist. Vor der Küste Perus strömt kaltes nährstoffreiches Wasser mit vielen Fischen. Es fällt hier kaum Niederschlag. Der Temperaturunterschied der Meeresoberfläche zwischen Ost und West ist gross, die Walkerzirkulation wird darum stark. Über Indonesien herrscht immer tiefer Druck mit starken Regenfällen. 

 

Luft 

Die Luft ist ein Gasgemisch, das die Erde umgibt. Die Zusammensetzung der Atome und Moleküle ist bis in eine Höhe von etwa 120 km annähernd konstant. Der Wasserdampf bildet allerdings eine Ausnahme, da sich dessen Anteil in Abhängigkeit von der Lufttemperatur ändert. Auch der Gehalt an Kohlendioxid (CO2) ist nicht konstant und schwankt örtlich stark.

Die Anteile (Volumen-Prozente) der permanenten Gase der Luft sind:

Stickstoff (N2): 78.08%

Sauerstoff (O2): 20.95%

Argon (Ar): 0.93%

weitere Edelgase: Neon (Ne), Helium (He), Krypton (Kr), Xenon (Xe) und Wasserstoff (H), insgesamt weniger als 0.01%

Nichtpermanente Gase:

Wasserdampf (H2O)

Kohlendioxid (CO2)

Kohlenmonoxid (CO)

Schwefeldioxid (SO2)

Stickstoffdioxid (NO2)

Methan (CH4)

Ozon (O3), u.a.

Wie die Auflistung zeigt, stellen Stickstoff und Sauerstoff den Hauptbestandteil der Luft dar und sind für das irdische Leben die wichtigsten Gase. Für das Wettergeschehen der wichtigste Bestandteil ist der Wasserdampf. Von besonderer Bedeutung ist auch das Ozon. Es absorbiert Teile der lebensfeindlichen UV-Strahlung der Sonne.

Mesopause     top

Die Mesopause ist die Obergrenze der Mesosophäre. Sie liegt in einer Höhe von etwa 80 bis 85 km. Das Wort setzt sich zusammen aus "mesos" (aus dem Griechischen: Mitte) und "pauein" (aus dem Griechischen: beendigen).

  

Mesosphäre  

Die Mesosphäre, zusammengesetzt aus "mesos" (aus dem Griechischen: Mitte) und "sphaira" (griechisch (Erd)kugel), ist eine Schicht der hohen Atmosphäre, zwischen Stratopause (in etwa 50 km Höhe) und der Mesopause (in 80 bis 85 km Höhe). Die Temperatur sinkt von etwa 0°C an der Stratopause auf etwa -90°C. Der Temperaturgradient von knapp 3.0 K/km ist erheblich geringer als in der Troposphäre (6.5 K/km).

  

Meteorologie

Wörtlich: Die Lehre von den Himmelserscheinungen (aus dem Griechischen meteorologica). Die Meteorologie ist die Lehre von den chemischen und physikalischen Vorgängen in der Atmosphäre und den Wechselwirkungen mit der Erdoberfläche.

  

Mie-Streuung

Unter Mie-Streuung versteht man die Streuung von Strahlung an Aerosol-Partikeln. Sie hängt sowohl von der Wellenlänge als auch von der Grösse der streuenden Partikeln ab: Die Wellenlänge der gestreuten Strahlung entspricht dem Durchmesser der streuenden Partikel. Die Mie-Streuung ist verantwortlich für das Weiss der Wolken.

 

Mischungsnebel 

Mischungsnebel entsteht, wenn kalte Luft mit warmen nassen Oberflächen in Berührung kommt: Wenn beispielsweise kalte Luft über eine warme Wasseroberfläche strömt. Die Luft unmittelbar über dem Wasser erwärmt sich auf die Wassertemperatur, ihre relative Luftfeuchtigkeit geht zurück. Sie nimmt sofort verdunstendes Wasser auf, aber sie beginnt auch zu steigen, da sie wärmer als die darüberliegende Luft ist. Dabei vermischt sie sich mit dieser Luft, wodurch natürlich ihre Temperatur wieder sinkt. Wird dabei der Taupunkt unterschritten, kommt es zur Bildung von Mischungsnebel. Durch die steigenden Luftblasen entsteht der Eindruck, als rauche der See. Das selbe geschieht, wenn die Sonne auf ein nasses Hausdach oder eine nasse Strasse scheint. Diese Art von Nebel erreicht kaum grosse Mächtigkeiten.

  

Mischungsverhältnis

Das Mischungsverhältnis ist ein Feuchtemass, das angibt, wieviel Gramm Wasserdampf pro Kilogramm trockener Luft enthalten sind. Sein Zahlenwert ist fast identisch mit jenem der spezifischen Feuchte.

m

= Mischungsverhältnis

e

= Dampfdruck in hPa

p

= Luftdruck in hPa

Da der Luftdruck gross ist verglichen mit dem Dampfdruck, ist obige Vereinfachung erlaubt.

 

Moleküle

Ein Molekül ist ein fest verknüpfter und abgeschlossener Verband von mindestens zwei Atomen, der keine Ladung trägt. Beispiele: Zwei Sauerstoffatome (O) verbinden sich zu O2, Wasser ist eine Molekül namens H2O, besteht also aus einem Sauerstoffatom (O) und zwei Wasserstoffatomen (H).

 

Monsun

Monsun wird definiert als eine zweimalige Umkehr der Zirkulation während eines Jahres. Das Paradebeispiel ist Indien: Im Winter herrschen dort vorwiegend Nordostwinde (Passate), die kühle trockene Luft vom Festland bringen. Im Sommer liegt die ITCZ aber über dem Hochland von Tibet. Die Passate wehen über den indischen Ozean (Südostwinde), überqueren den Äquator (Richtungswechsel), und erreichen Indien, nachdem sie sich über dem Meer mit Wasserdampf angereichert haben. Der indische Subkontinent erlebt seine Regenzeit. (Cherrapunji, mit 10 420 mm pro Jahr der niederschlagreichste Ort der Erde, erhält den grössten Teil des Wassers im Sommer, ab dem Monat Juni.)

Manchmal taucht auch der Begriff "europäischer Monsun" auf; eine irreführende Bezeichnung. Denn man meint damit, dass einem warmen Mai (während dem sich das europäische Festland schnell aufheizt) ein kühler und nasser Juni folgt. Die Luft über dem erwärmten Europa steigt auf und zieht feuchte Atlantikluft nach. Es handelt sich also nicht um eine umkehr der Zirkulation.

 

Nordatlantische Oszillation (NAO)     top

Nach dem starken El Niño-Ereignis Ende der neunziger Jahre wurde die Frage nach dessen Einfluss auf Europa vermehrt gestellt. Damit kam die NAO ins Rampenlicht der Medien.

Vorerst sind nur die Mechanismen für das Wetter im Winter verstanden: Bei stark ausgeprägtem Golfstrom ist dessen Einfluss auf die Bildung starker Druckgegensätze zwischen Azoren und Island gross (positiver NAO-Index). Das Wetter in Europa ist von Westwinden geprägt, die milde und feuchte Luft heranführen. Kühlt sich hingegen der Golftsrom stark ab, ist auch der Luftdruckgegensatz zwischen Island und den Azoren geringer (negativer NAO-Index). Die Drucksysteme sind weniger stark ausgebildet, die Wetswinde erlahmen und die sibirische Kaltluft kann ungehindert nach Europa fliessen. Diese Winter sind frostig und kalt.

Der oben angesprochene NAO-Index gibt an, wie stark der Druckgegensatz zwischen Island und Azoren ist. Man stellt einen gewissen Zusammenhang zum europäischen Winterwetter fest. Ob man mit dem NAO-Index auch das Sommerwetter vorhersagen kann, ist ungewiss.

 

Nebel

Tritt Kondensation bei feuchtgesättigter Luft ein, so spricht man von Nebel. Nebel ist also eigentlich eine Wolke. Manchmal definiert man auch Nebel als am Boden aufliegende Wolke. Je nach Entstehungsart spricht man von folgenden Nebelarten:

Strahlungsnebel: Wenn in der Nacht die Temperatur wegen Abstrahlung unter den Taupunkt fällt, tritt Kondensation ein.

Advektionsnebel: Wird warme, feuchte Luft über eine kühle Unterlage geschoben, kann Kondensation eintreten.

Orographischer Nebel: Strömt feuchte Luft über einen Hang aufwärts und wird dabei auf den Taupunkt abgekühlt, entsteht Nebel

Mischungsnebel: Wenn kalte Luft mit warmen nassen Oberflächen in Berührung kommt, kann Nebel entstehen.

Nebel hat eine selbsterhaltende Wirkung: Er besitzt eine sehr hohe Albedo; bis zu 90% der eintreffenden Energie werden zurückgeworfen. Damit steht nur noch ein kleiner Restbetrag für die Erwärmung und damit zur Auflösung des Nebels zur Verfügung .

  

Neuschnee

Mit Neuschnee meint man den frisch gefallenen Schnee. Die Neuschneemessung ist eine etwas spezielle Form der Niederschlagsmessung. Meist wird dazu ein Brett horizontal aufgestellt und der darauf gefallene Neuschnee regelmässig bestimmt. Neben der Neuschneehöhe wird auch die Neuschneedichte bestimmt. Sie liegt bei etwa 100 kg/m3. Aus der Neuschneehöhe lässt sich das Wasseräquivalent bestimmen.

Schneeniderschlag liefert vor allem im Hochgebirge grosse Probleme. Es ist ein Messplatz zu suchen, der einerseits repräsentativ ist für die Umgebung, andererseits sollte er weder geschützt noch windexponiert sein (Verwehungen). Bei Totalisatoren ist die Schneeverwehung ein kaum zu meisterndes Problem. Man setzt zwar Windschutzringe ein, der Wind ist aber meist zu stark. Es kommt zudem vor, dass Totalisatoren einfach eingeschneit werden, obwohl sie mehere Meter über Grund aufgestellt werden.

  

Niederschlag

Als Niederschlag bezeichnet man alle Formen von Wasser in flüssiger oder fester From, das auf der Erde auftrifft. Dies kann Regen, Schnee, Hagel, Tau, Reif oder auch Rauhreif sein. Man unterscheidet zwischen gefallenem, abgesetztem und abgefangenem Niederschlag.

Zum gefallenem Niederschlag zählen: Regen, Schnee, Hagel, Eiskörner, Sprühregen

Zum abgesetztem Niederschlag zählen: Tau, Reif, Rauhreif oder Glatteis

Zum abgefangenem Niederschlag zählen: Nebelniederschlag oder Nebelfrostniederschlag. Dies ist also Wasser in fester oder flüssiger Form, das in der Atmosphäre kondensiert und überwiegend der Luftströmung folgend an Gegendstände gelangt ist.

Die Niederschlagsmessung ist eine Wissenschaft für sich, was andeutet, dass die Messung mit vielen Problemen verbunden ist.

  

Niederschlagsmessung und Messfehler

Die Niederschlagsmessung ist nicht ganz einfach. Für den flüssigen Niederschlag wird meist ein Gefäss aufgestellt, dessen Öffnungsfläche genau bekannt ist. Der damit gesammelte Niederschlag wird entweder gewogen oder man bestimmt dessen Volumen. Die so erhalten Zahl wird durch die Fläche der Öffnung des Messgerätes dividiert.

Der Niederschlag wird entweder in mm oder in l/m2 angegeben. 1 l/m2 entspricht dabei 1 mm. Zur Veranschaulichung: Die Niederschlagsmenge ist ein Volumen. Wenn ein mm Niederschlag auf einen Quadratmeter fällt, entspricht dies einem Volumen von 1mm *1m*1m Niederschlag, oder in dm3: 0.01dm/(10dm*10dm) = 1 dm3, was genau einem Liter entspricht, also 1 l/m2 = 1 mm.

Es gibt diverse Messgeräte:

Pluviometer sind Geräte, die den Niederschlag sammeln.

Pluviographen sind Geräte, die den Niederschlagsverlauf mechanisch oder elektronisch aufzeichnen.

Leider gibt es keinen internationalen Standard. Fast jedes Land setzt seine eigenen Geräte ein. Wäre die Regenmessung technisch unproblematisch, wäre dieser Umstand nicht weiter dramatisch. Nun ist aber leider jede Regenmessung mit Fehlern behaftet:

Windfehler: Jeder Regenmesser beeinflusst das Windfeld. Es tritt Turbulenz auf, die kleine Tropfen verwirbelt, so dass nur die grösseren Tropfen in das Gefäss fallen. Je stärker der Wind, desto grösser der Fehler. In Mitteleuropa ist der Windfehler im Sommer kleiner als im Winter, da der Niederschlag im Schnitt im Sommer grössere Tropfen aufweist (Gewitter). Der Windfehler ist abhängig von der Form des Regenmessers und von der Höhe, in der das Gerät aufgestellt wird. Wenn man den Regenmesser in der Boden einlässt, wird der Windfehler minimiert.

Haftwasser: An den Wänden des Messers bleibt Wasser haften, das nicht gemessen wird. Der Haftwasserfehler ist abhängig vom Querschnitt, von der Form, der Grösse, des Materials, der Farbe und dem Alter des Messgerätes.

Verdunstungsfehler: Regenwasser kann auch verdunsten. Je häufiger man den Niederschlag misst und das Gefäss leert, desto geringer wird dieser Fehler. Dieser Fehler ist weiter abhängig vom Querschnitt, der Farbe, vom Meterial, vom Alter, von der Isolation und der Aufstellhöhe des Messers.

Spritzer, also Tropfen die von der Umgebung abprallen und in den Messer fallen oder vom Messer nach aussen spritzen verursachen auch Messfehler. Dieser Fehler ist abhängig von der Niederschlagsintensität, der Windgeschwindigkeit, der Messhöhe und der Installationsart des Gerätes. Bodenebene Geräte haben einen höheren Spritzwasserfehler als Geräte auf einer Messhöhe von 2 m.

Messfehler können bis 30% ausmachen, wobei der Windfehler den grössten Einfluss hat. Vor allem im Hochgebirge lässt sich dieser Fehler kaum vermeiden, trotz Windschutzring. Denn in diesen Gegenden fällt ein Grossteil des Niederschlags als Schnee, der viel leichter verweht wird.

Jede Niederschlagsmessung ist nur eine Punktmessung. Sie sagt aber eigentlich kaum etwas über den Gebietsniederschlag aus.

 

Ozon (O3)    top

Ozon ist ein Molekül, das aus drei Sauerstoff-Atomen besteht und mit der chemischen Formel O3 bezeichnet wird. Es kann auf zwei Arten entstehen:

In Höhen um 30 km durch Einwirken von UV-Strahlung. Es bildet hier die Ozonschicht:

Ozonbildung

UV C steht für ein Photon mit einer Wellenlänge, die kleiner als 0.24 µm ist, also besipielsweise UV C-Strahlung. Dieses Photon wird absorbiert, mit der Energie wird ein Sauerstoffatom (O) abgespalten. Dieses O reagiert mit einem Sauerstoffmolekül (O2) zu O3. M steht stellvertretend für einen sogenannten Katalysator, der zwar an der Reaktion teilnimmt, am Schluss aber in unveränderter Form und Menge vorliegt. In unserem Fall handelt es sich hier meist um Stickstoff (N2). Gleichzeitig findet ein Ozonabbau statt:

Ozonabbau

Das Photon muss hier eine Wellenlänge haben, die kleiner als 1.2 µm ist. Ein Sauerstoffatom (O) wird vom Ozonmolekül (O3) abgespalten und reagiert mit einem weiteren Ozonmolekül zu zwei Sauerstoffmolekülen (O2). Ozonbildung und Ozonabbau stehen in einem Gleichgewicht. Die Ozonschicht absorbiert einen grossen Teil der lebensfeindlichen UV-Strahlung und ermöglicht dadurch das Leben auf der Erde.

Nahe der Erdoberfläche: Bei genügend starker Sonneneinstrahlung kann ein Sauerstoffatom (O) vom Stickstoffdioxid (NO2) abgespalten werden. Dieses einzelne Atom reagiert unter Einfluss eines Katalysators (M) mit einem Suerstoffmolekül (O2) zu Ozon.

Ozon in Bodennähe

Ozon in Bodennähe ist bereits in geringen Konzentrationen schädlich für Mensch und Tier, da es sehr reaktionsfreudig ist und die Schleimhäute angreift. Eine erhöhte Ozonkonzentration kann zur Erkrankung der Atemwege führen. Kreislaufkranke sind einer erhöhten Belastung ausgesetzt. Bei starker Ozonbelastung sollte die körperliche Betätigung eingeschränkt werden.Man spricht bei hohen Ozonkonzentrationen von Smog.

 

 

Okklusion 

OkklusionDie Okklusionsfront ist eine Front, die durch die Vereinigung einer Kaltfront mit einer Warmfront entsteht. Ihr Auftreten ist ein Zeichen für die Reife eines Tiefs. Es ist nämlich so, dass Kaltfronten sich schneller frotbewegen als Warmfronten und so letztere einholen. Die zwischen Warm- und Kaltfront liegende Warmluft wird eingeschnürt und vom Boden abgehoben.

Es wird unterschieden zwischen Kaltfront-Okklusionen und Warmfront-Okklusionen. Warmfront-Okklusionen gleichen in ihren Wettererscheinungen den Warmfronten, Kaltfront-Okklusionen sind den Kaltfronten ähnlich.

  

 

Orographischer Nebel

Von orographischem Nebel spricht man dann, wenn Luft an einem Gebirge zum Aufgleiten gezwungen wird, sich dabei adiabatisch abkühlt und bereits unterhalb der Gipfel zu kondensieren beginnt. Solcher Nebel entsteht vielfach an Orten, wo Passate feuchtwarme Luftmassen gegen ausgedehnte Gebirgsmassive führen: An den Ostküsten Südamerikas und Afrikas (Sansibar und Madagaskar: Über 40 Nebeltage jährlich).

  

Ozonschicht

In etwa 30 km Höhe bildet sich Ozon. Es absorbiert einen grossen Teil der lebensfeindlichen UV-Strahlung und ermöglicht damit Leben auf der Erde. Ozonbildung und Ozonabbau in der Ozonschicht stehen in einem Gleichgewicht. Der Mensch greift durch Freisetzung von gewissen Gasen (FCKW) in die Atmosphäre in dieses Gleichgewicht ein. Die FCKW-Gase entwickeln enorme Zerstörungskraft. Als Beispiel sei die Wirkung von Dichlor-Difluor-Methan demonstriert:

Ozonschicht

Die UV C-Strahlung wird absorbiert, die dabei aufgenommene Energie spaltet ein Chloratom (Cl) ab. Dieses reagiert mit einem Ozonmolekül (O3) zu Sauerstoff (O2) und Chloroxid (ClO). Gleichzeitig findet die natürliche Reaktion statt, die Ozon abbaut (ein Photon wird absorbiert und ein Ozonmolekül (O3) in ein Sauerstoffatom (O) und ein Sauerstoffmolekül (O2) zerlegt). Das einzelne O reagiert mit dem Chloroxid (ClO) zu Chlor und O2. Durch diese und andere Reaktionen gewinnt der Ozonabbau gegenüber der Ozonbildung an Bedeutung. Diese Reaktionen finden in der gesamten Ozonschicht statt und schwächen diese, so dass mehr UV-Strahlung auf die Erdoberfläche gelangt, wo sie beim Menschen bei ungeschütztem und übermässigem Sonnenbaden, Hautkrebs hervorrufen kann.

Besonders prekär wird die Situation jeweils im Frühjahr über dem Südpol (Oktober). Im strahlungsarmen Winter können sich in der Stratosphäre Wolken bilden. In diesen stratosphärischen Wolken können sich Chloratome (in Molekülen gebunden) ansammeln und ein Reservoir bilden. Im Frühjahr, wenn die Strahlungsstärke wieder zunimmt, beginnen die Reservoirteilchen zu reagieren und das Ozon abzubauen. Über dem Norpol ist der Reservoireffekt etwas abgeschwächt, weil die Stratosphärischen Wolken in einem Austausch mit südlicheren Luftmassen stehen. Das Frühjahres-Ozonloch über dem Nordpol (April) ist weniger gross, als über dem Südpol (Oktober). 

Blizzards, Burane, Pamperos und Yamase 

Es handelt sich bei allen vieren um Winde, die mit heftigen Kaltlufteinbrüchen einhergehen. Vom Blizzard ist Nordamerika betroffen. Blizzardwarnung wird ausgegeben, wenn zu erwarten ist, dass Winde mit mehr als 15.5 m/s und heftiger Schneefall die Sichtweite unter 140 m herabsetzen. In Ostrussland und Sibirien heissen derartige Ereignisse Burane, die Südamerikaner nennen sie Pamperos und in Japan heissen sie Yamase. All diesen Gegenden ist gemeinsam, dass die Gebirge (die Rocky Mountains, die Anden, die japanischen Inseln) Nord-Süd verlaufen und damit den Winden aus der kalten Polarregion frei Bahn in die Subtropen geben, wo sie auf feuchtwarme Luft treffen. Südeuropa und Indien dagegen sind von den Alpen bzw. vom Himalaya geschützt.

Solch heftige Kaltlufteinbrüche bringen starken Schneefall oder vereisenden Regen. Damit kommt das öffentliche Leben oft zum Erliegen, weil Strassen unpassierbar werden und Telefon- und Stromleitungen unter der Eislast zusammenbrechen.

  

Passatwinde    top

Unter Passatwinden versteht man die Ostwinde nördlich und südlich der ITCZ. An der ITCZ steigt Luft auf und zieht weitere Luft nach. Diese angesogene Luft wird von der Corioliskraft abgelenkt. Darum werden diese Winde zu Ostwinden. Allerdings haben sie immer eine Komponente zur ITCZ hin: Auf der Südhalbkugel sind es somit südöstliche Winde, auf der Nordhalbkulgel nordöstliche. Diese Winde wurden bereits um 1492 von Christoph Columbus auf seiner Reise nach Amerika ausgenützt. Die Handelsreisenden nannten diese Winde dann "tradewinds" (engl. für Handelswinde).

Passate können je nach Lage der ITCZ von der einen Hemisphäre über den Äquator auf die andere wechseln. Da dabei die Corioliskraft auch in die andere Richtung wirkt, wechselt auch die Windrichtung: Ein Ostwind auf der Südhalbkugel wird zu einem Westwind auf der Nordhemisphäre. Ein solcher Wechsel ist nur möglich, wenn die ITCZ nicht am Äquator liegt. Damit ist auch klar, dass die Lage der Passate von der Jahreszeit abhängig ist. Der indische Monsun kommt wegen einer solchen Änderung der Windrichtung zustande.

Das Gegenstück in den höheren Breiten sind die "westerlies", die Westwinde. Sie entstehen, weil die Luft, die aus den Subtropenhochs abströmen auf ihrem Weg zum Pol ebenfalls von der Corioliskraft abgelenkt wird.

  

Photon

Ein Photon kann als winziges Energiepaket bezeichnet werden. Physiker wie Albert Einstein (1879 - 1955) oder Max Planck (1858 - 1947) postulierten, dass elektromagnetische Strahlung aus einem Strom solcher Energiepakete bestehe. Die Photonenenergie EPh lässt sich aus der Frequenz nüberechnen:
Photonenenergie
h = 6.6260755·10-34 Js = Plancksches Wirkungsquantum

Man sagt auch etwa, Strahlung sei gequantelt. Dies verdeutlicht den Teilchencharakter des Lichts. Man stellt sich je nach physikalischer Fragestellung Strahlung als Wellenbündel oder als Teilchenstrom vor.

  

Polarfrontjet

Der Polarfrontjet ist ein Jetstream, der seine Lage täglich wechselt und jeweils zwischen 50° und 75° Breite liegt, je nach Lage der Grenze zwischen warmer und kalter Luft. Die Existenz der Polarfrontjets lässt sich mit dem horizontalen Temperaturunterschied zwischen Süd und Nord begründen: Warme Luft ist weniger dicht als kalte. Eine Masse warmer Luft nimmt daher ein grösseres Volumen ein als die gleiche Masse kalter Luft. (Darum liegt die Tropopause am Äquator höher als am Pol.)

Wenn man nun aber den Druck auf beispielsweise 1000 m.ü.M misst, erhält man in der Nähe des Äquators einen grösseren Wert als in Polnähe. (Die Flächen mit jeweils gleichem Druck fallen also vom Äquator zum Pol ab; in der Grafik z.B. P1.) Am Äquator liegt über dem Messpunkt eine grössere drückende Luftmasse als am Pol. Dieser Druckunterschied zwischen Pol und Äquator erzeugt einen geostrophen Wind. Der hohe Druck beim geostrophen Wind liegt auf der Nordhalbkugel naturgemäss in Bewegungsrichtung der Luft rechts. Auf der Südhalbkugel liegt das Hoch jeweils links, da hier die Corioliskraft nach links wirkt. Darum weht der Jetstream auf der Nordhalbkugel so, dass die warme Luft rechts liegt (Südhalbkugel links), also auf der Nord- und auf der Südhalbkugel von West nach Ost. Damit ist auch erklärt, warum das Wetter meist von Westen kommt.

Die grösste Windgeschwindigkeit finden wir dort, wo der grösste horizontale Temperaturgradient liegt: Über der Polarfront. Die Fluggesellschaften nutzen den Jetstream, indem sie von West nach Ost im Jet fliegen und dabei bei einem Flug von den USA nach Europa Zeitgewinne im Bereich von Stunden erzielen gegenüber den Flügen von Ost nach West, bei denen sie den Jet zu meiden versuchen.

 

Quecksilbersäule (mmHg)    top

Millimeter Quecksilbersäule (mmHg) ist eine alte Einheit, in der der Druck angegeben wurde. Heute findet sie kaum noch Verwendung. Für die Umrechnung gilt:

1 mmHg =1 torr 133.322 Pa 1.33 hPa

 

Radar  top

Mit Radars können Niederschlagsteilchen in der Atmosphäre vermessen werden. Dazu sendet das Radar in festen Abständen ein Signal mit einer gewissen Wellenlänge aus. Die Niederschlagsteilchen (Wasser, Eis) reflektieren dieses Signal. Das Radar misst dann in den Sendepausen, wie viel Energie wieder zurück kommt. Ein Radar misst also eine Reflektivität, nicht den Niederschlag direkt. Diese Reflektivität wird mit speziellen Beziehungen in eine Regenrate (in mm/h) umgerechnet.

Die Radars werden je nach ausgesendeter Wellenlänge bezeichnet:

Band-Bezeichnung

Frequenzbereich (GHz)

Wellenlängenbereich (cm)

UHF

0.3 - 1.0

30 - 100.0

L

1.0 - 2.0

15 - 30.0

S

2.0 - 4.0

7.5 - 15.0

C

4.0 - 8.0

3.75 - 7.5

X

8.0 - 12.5

2.4 - 3.75

K

18.0 - 26.5

1.13 - 1.67

 

Die Radarmessung erfolgt einige Meter bis Kilometer über Grund. Bis die Tropfen als Niederschlag auf dem Boden auftreffen, kann noch einiges geschehen. Es sind darum folgende Effekte zu beachten:

Der Radarstrahl überschiesst bodennahe Echos in weiter Entfernung. Der Radarstrahl läuft auf einer Geraden von der Antenne weg, die Erdoberfläche ist aber gekrümmt. Der Radarpuls liegt in 100 km Entfernung bereits 0.6 km über Grund. Niederschlagsteilchen in Bodennähe werden nicht erfasst.

Verdunstung in geringer Höhe über dem Boden.

Orographisch bedingte Zunahme der Regenintensität, welche vom Radarstrahl nicht erfasst wird. Der Niederschlag nimmt unterhalb des Radarstrahls zu.

Objekte mit sehr hoher Reflektivität schatten die Regionen hinter ihnen ab. Beispiele sind Berge oder Gebiete mit sehr starkem Niederschlag.

 

Rauhreif  

Rauhreif ist Eisablagerung an Gegenständen. Voraussetzung für die Entstehung von Rauhreif ist eine Temperatur, die negativ ist und dem Taupunkt entspricht und Wind. Die Rauhreif-Kristalle wachsen in die Richtung, aus der Wind weht.

  

Rayleigh-Streuung 

Unter Rayleigh-Streuung versteht man die Streuung von Strahlung an Luftmolekülen. Der Durchmesser der streuenden Teilchen ist viel kleiner als die Wellenlänge der gestreuten Strahlung. Strahlung mit kleiner Wellenlänge wird stärker gestreut als Licht mit grosser Wellenlänge. Die kurzwelligen blauen Anteile des Sonnenlichts werden stark gestreut, was den blauen Himmel erklärt. Weil die blauen Anteile weggestreut werden, erscheint uns die Sonne gelb.

Steht die Sonne tief am Horizont, hat das Sonnenlicht eine lange Strecke in der Erdatmosphäre zurückzulegen. Auf dieser langen Strecke werden die kurzwelligen blauen und grünen Anteile weggestreut, so dass nur noch die gelben und roten Anteile (weil langwellig) zu uns gelangen und die Sonne uns rot erscheint.

  

Reaumur (R)  

Von R. A. Ferchault de Réaumur 1730 eingeführte Temperaturskala. Der Abstand zwischen dem Siedepunkt des Wassers (80° R) und dem Schmelzpunkt des Eises (0° R) wurde in 80 gleiche Teile eingeteilt. Die Reaumurskala wird heute nicht mehr verwendet.

Für die Umrechnung gilt:

"C" steht für Temperatur in ° Celsius, "R" ist die Temperatur in ° Reaumur.  

 

Reflexion 

Die Reflexion ist eine Art der Streuung. Man versteht darunter das Zurückwerfen der Strahlung in die Richtung der Strahlungsquelle (für uns also von der Erde weg in Richtung Sonne).

Interessant im Zusammenhang mit der Reflexion ist der Begriff der Albedo. Damit kann angeben werden, wie viel Strahlung von einer Oberfläche reflektiert wird.

  

Regen

Regen ist Niederschlag in flüssiger Form. Er entsteht, wenn sich Wolkentröpfchen zu grösseren Tropfen zusammenfügen (Regentropfen haben eine Grösse, die 0.5 mm übersteigt). Wenn die Tropfen zu schwer werden, können sie von den Aufwinden nicht mehr in der Wolke gehalten werden und fallen zu Boden. Je stärker die Aufwinde sind, desto grösser sind die Tropfen, die noch gehalten werden können, die Tropfen werden grösser. An Kaltfronten oder in Gewitterwolken herrschen starke Aufwinde. Darum ist der Regen, der aus diesen Wolken fällt, auch grosstropfiger als beispielsweise Regen an einer Warmfront.

 

Regenbogen 

Das Prinzip ist das selbe wie bei einem Glasprisma. Ein Prisma ist ein dreieckiger Stab, der in unserem Fall aus Glas ist. Wenn ein Prisma von einer Seite mit weissem Licht bestrahlt wird, kommt das Licht auf der anderen Seite als eine Art Regenbogen heraus, und der Lichtstrahl geht nicht mehr in die gleiche Richtung wie beim Auftreffen auf das Glasprisma. Man sagt, das Licht werde gebrochen. Dies geschieht, wenn Licht von einem durchsichtigen Stoff in einen anderen wechselt (hier von Luft ins Glas und wieder aus dem Glas heraus).

Weisses Licht ist zusammengesetzt aus allen Farben. Weil die Farben sich gegenseitig ergänzen, erscheint Licht weiss. Nun werden aber nicht alle Farben gleich stark gebrochen. Rot wird schwach gebrochen oder abgelenkt, Violett stark. Dies bedeutet, dass Rot weniger stark von seiner Bahn abgelenkt wird als Violett. Die Farben treten also nicht mehr in der selben Richtung aus dem Glas. Das Licht wird in die Regenbogenfarben zerlegt.

Beim Regenbogen geschieht das Selbe. Ein Sonnenstrahl trifft auf ein Wassertröpfchen (wechselt von Luft zu Wasser) und wird ein erstes Mal gebrochen. Er geht durch das Wassertröpfchen und wird auf der hinteren Seite des Tröpfchens gespiegelt. Dann kommt der Strahl vorne wieder aus dem Tröpfchen (wechselt von Wasser zu Luft, wird also ein zweite Mal gebrochen) und geht in die Richtung des Betrachters.

Der Betrachter sieht nun aber mehrere Tröpfchen jeweils unter einem anderen Winkel, d.h. er sieht verschiedene Farben. Doch alle Tröpfchen, die er unter dem selben Winkel sieht, zeigen ihm die selbe Farbe. (Aus jedem Tröpfchen kommen natürlich alle Farben, er sieht von einem Tröpfchen aber nur eine, weil er für die anderen Farben am falschen Ort steht.)

Oft sieht man in einem gewissen Abstand zum Hauptregenbogen einen äusseren Nebenregenbogen. Während die Farbreihenfolge im Hauptregenbogen von aussen nach innen von Rot nach Violett verläuft, ist die Reihenfolge im Nebenbogen gerade umgekehrt.  

 

Regentag  

In Reiseführern wird oft die Anzahl Regentage pro Jahr für bestimmte Orte angegeben. Ein Regentag ist ein Tag, an dem mindestens 0.1 mm Regen fällt.

 

Reif

Reif ist eine Eisablagerung aus der Luft. Der Wasserdampf gefriert dabei direkt (ohne zuerst zu kondensieren) an Gegenständen an. Voraussetzung ist eine negative Temperatur.

  

Relative Feuchte

Die Relative Feuchte ist gegeben durch den Quotienten aus dem in der Luft herrschenden Dampfdruck und dem Sättigungsdampfdruck über Wasser. Sie gibt die Luftfeuchtigkeit in Prozenten an.

 

Dabei ist r = Relative Feuchte in %


e = Dampfdruck
E(T) = Sättigungsdampfdruck

  

Rückseitenwetter

Damit meint der Meteorologe das Wetter nach dem Durchzug einer Kaltfront. Es es ist gekennzeichnet durch steigenden Luftdruck, nur noch leicht fallende Temperaturen und abnehmende Bewölkung. Die dominierenden Wolkenarten sind Cumulonimbus und Cumulus. Wenn weiterhin Regenschauer auftreten, spricht man von einer aktiven Rückseite. Die Luftmasse ist dann labil geschichtet und mit Feuchte angereichert.

 

Satelliten     top

Satelliten sind künstliche Himmelskörper, die für die Forschung und vermehrt auch in der Telekommunikation eingesetzt werden. Wettersatelliten sind ein sehr nützliches Hilfsmittel in der Meteorologie. Sie dienen vor allem der Kurzfristprognose (Prognose für die nächsten Stunden) und der Gewinnung von Daten von Orten, von denen sonst keine Messwerte vorliegen. Es gibt, nach ihrer Umlaufbahn um die Erde charakterisiert, zwei Typen von Satelliten:  

Geostationäre Satelliten: 

Geostationäre Satelliten sind Satelliten, die immer am selben Punkt über der Erdoberfläche liegen. Die Physik lässt dies mit geringem energetischem Aufwand nur am Äquator zu. Solche Satelliten haben die gleiche Winkelgeschwindigkeit um die Erdachse wie die Erde. Damit ist ihre Flughöhe gegeben (Zentrifugalkraft (abhängig von der Drehgeschwindigkeit) und die Erdanziehung (abhängig vom Gewicht) müssen sich gegenseitig aufheben) und beträgt für den METEOSAT 6 beispielsweise rund 35 800 km. Das System der Wettersatelliten ist so aufgebaut, dass um den Äquator jeder Punkt von mindestens einem Satelliten gesehen werden kann. Darum sind immer mindestens fünf geostationäre Wettersatelliten im Einsatz:

  • Der europäische METEOSAT für Afrika, Ostatlantik, Naher Osten und Europa. Position: 0° Ost/West
  • Der amerikanische GOES Ost für den Westatlantik, Nord- und Südamerika. Position: 75° West
  • Der amerikanische GOES West für den Ostpazifik und das westliche Nordamerika. Position: 112.5° West
  • Der japanische GMS für den Westpazifik, Ostasien und Australien. Position: 140° Ost
  • Der indische INSAT für den indischen Ozean, Asien, Ostafrika und die arabische Halbinsel. Position: 74° Ost

Die geostationären Satelliten messen normalerweise in drei Kanälen:

  • Infrarot (IR). Wellenlänge: 10.5 - 12.5µm
  • Sichtbares Licht (VIS für "visible"). Wellenlänge: 0.4 - 1.1µm
  • Wasserdampf (WV für "water vapour"). Wellenlänge: 5.7 - 7.1µm

Der grosse Vorteil der geostationären Satelliten ist die hohe zeitliche Auflösung: Jede halbe Stunde wird ein neues Bild geliefert. Damit kann man ganze Filme zusammensetzen und so die Wetterentwicklung verfolgen. Es ist auch möglich, aus der Bewegung der Wolken von einem Bild zum nächsten das Windfeld zu errechnen. Solche Daten werden zusammen mit den Temperaturdaten in die Wettermodelle gegeben. Nachteilig wirkt sich aus, dass der Satellit von seiner Position über dem Äquator nur sehr flach auf die Regionen in Polnähe sieht und daher die räumliche Auflösung für diese Gebiete sehr schlecht ist.

Polumlaufende Satelliten : 

Polumlaufende Satelliten bewegen sich auf ihre Umlaufbahn um die Erde so, dass sie über die beiden Pole fliegen. Die Erde dreht sich unter ihnen weg. Eine solche Umlaufbahn hat einen wesentlichen Vorteil: Die Fluggeschwindigkeit ist im Gegensatz zu den geostationären Satelliten nicht durch die Drehgeschwindigkeit der Erde gegeben. Dies bedeutet, dass diese Satelliten auch "tief" fliegen können und die Bilder darum in höherer räumlicher Auflösung vorliegen. Die zeitliche Auflösung ist dagegen eingeschränkt.

Für den Wetterdienst sind verschieden Satellitenserien im Einsatz. Die bekanntesten sind die amerikanischen NOAA-Satelliten. Sie fliegen in 815 km bis 830 km Höhe einmal in 101 Minuten um die Erde. Russland betreibt mit METEOR auch polumlaufende Satelliten. Diese fliegen in 110 Minuten einmal um die Erde. Ihre Flughöhe beträgt 1200 km. NOAA-Satelliten messen üblicherweise in fünf Kanälen:

 

Kanal 1: Sichtbares Licht. Wellenlänge: 0.6 µm

Kanal 2: Sichtbares Licht. Wellenlänge: 0.9 µm

Kanal 3: Nahes Infrarot. Wellenlänge: 3.7 µm

Kanal 4: Infrarot. Wellenlänge: 10.8 µm

Kanal 5: Infrarot. Wellenlänge: 12.0 µm

Der Messbereich wird aber ständig ausgeweitet und die Messungen werden durch neue Entwicklungen verbessert.

 

Wettersatelliten messen die Strahlungsintensität von verschiedenen Wellenlängen. Die gemessene Strahlung wird zu einem Bild umgerechnet. Es entstehen meistens drei Bilder:

Infrarot (IR)

Sichtbares Licht (VIS für "visible")

Wasserdampf (WV für "water vapour")  

 

Schauer

Schauer sind Niederschläge von kurzer Dauer, die sich durch plötzliche Schwankungen in der Regenintensität auszeichnen. Schauerwetter findet man vorwiegend auf der Rückseite von Tiefdruckgebieten. In der labil geschichteten Kaltluft wechseln sich dunkle, drohende Schauerwolken mit kurzen Aufhellungen mit oft tiefblauem Himmel ab.  

 

Scherung

In der Physik bedeutet Scherung eine Verformung eines Körpers durch Kräfte, die parallel zu den Oberflächen des Körpers angreifen. In der Meteorologie bedeutet Windscherung die Änderung der Windstärke oder der Windrichtung über eine Strecke. Ändert die Windrichtung mit der Höhe und ist die Strömung geostroph, ist die so genannte vertikale Windscherung identisch mit dem thermischen Wind. Vertikale Windscherung ist die häufigste Ursache für Turbulenz.

zyklonale und antizyklonale ScherungDie Begriffe zyklonale und antizyklonale Windscherung werden bei der Diskussion von Isobarenkarten gebraucht. In der Grafik deuten die roten Pfeile den durch die Strömung hervorgerufenen Massentransport an.

Starke Windschrungen können gefährlich sein für Flugzeuge, da unter Umständen die Scherspannung zu gross werden kann und das Flugzeug oder Teile davon zerrissen werden.  

 

Schmelzpunkt

Mit Schmelzpunkt wird jene Temperatur gemeint, bei deren Überschreitung ein Stoff zu schmelzen beginnt. (Voraussetzung ist ein konstanter Druck. Normalerweise wird der Schmelzpunkt unter Standardbedingungen von 1013.25 hPa angegeben) Damit ist auch schon gesagt, dass der Schmelzpunkt druckabhängig ist. Bei Wasser bewirkt Druckerhöhung eine Schmelzpunkt-Erniedrigung: Unter den Kufen einer Eisläuferin bildet sich wegen dem erhöhten Druck eine dünne Schmelzwasserschicht. Darum kann die Läuferin über die Eisfläche gleiten.

  

Schnee

Schnee ist die feste Form von Wasser. Sind die Temperaturen in einer Wolke genügend tief, bilden sich Schneekristalle. Unterkühlte Wolkentröpfchen lagern sich an Gefrierkernen an. Es bildet sich eine hexagonale Struktur.

Je nach Wolkentemperatur bilden sich Nadeln, Dendriten, Plättchen oder Säulen. Zusätzlich ist die Form noch abhängig von der Übersättigung an Wasserdampf in der Wolke.

Die Schneekristalle wachsen dann auf Kosten der eventuell vorhandenen Wassertröpfchen (da der Sättigungsdampfdruck über Wasser grösser ist als über Eis und die Wasserdampfmoleküle vom hohen Dampfdruck zum tiefen gehen).

Sind die Schneekristalle genug gross und schwer, beginnen sie zu fallen. Sie durchqueren dabei Luftschichten, deren physikalische Eigenschaften nicht jenen des Gebietes ensprechen, in dem die Kristalle gewachsen sind (andere Temperatur, andere Feuchte). Schneekristalle sind daher bereits beim Fallen einer Metamorphose unterworfen.

Am Boden kommen sie dann als Neuschnee an und wandeln sich weiter um, die Dichte der Schneedecke ändert sich dabei ständig. Neuschnee hat eine Dichte von etwa 100 kg/m3, Nassschnee eine Dichte von etwa 500 kg/m3. Wenn ein Prognosemodelle 1 mm Niederschlag angibt, rechnet man mit etwa 1 cm Neuschnee.  

 

Seewind

Vom Meer (See) zum Land wehender Wind .

 

Siedepunkt

Mit Siedepunkt meint man ein Wertepaar aus Druck und Temperatur, das den Zustand eines Stoffes bezeichnet, bei dem dieser unter Sieden vom flüssigen in den gasförmigen Zustand wechselt. Der zu einer bestimmten Temperatur gehörende Druck wird Siededruck genannt, die zu einem bestimmten Druck gehörende Temperatur heisst Siedetemperatur. Druckerniedrigung setzt die Siedetemperatur herab. Darum siedet Wasser auf hohen Berggipfeln bei tieferen Temperaturen.

 

Smog  

Smog ist ein Kunstwort, zusammengesetzt aus den beiden englischen Begriffen Smoke (Rauch) und Fog (Nebel). Es bezeichnet eine stark erhöhte Luftschadstoffkonzentration über industriell genutztem oder städtischem Gebiet infolge ungünstiger meteorologischer Bedingungen (kaum Austausch der Luft währen einer längeren Zeitperiode). Man unterscheidet zwei Typen von Smog: Der London-Smog ist ein hauptsächlich mit Russ und Schwefeldioxiden beladener Nebel, der sich während nasskalten Wintertagen bildet und sich in der Nacht verstärkt. Zur Bildung des Los-Angeles-Smog ist eine starke Sonneneinstrahlung und eine erhöhte Konzentration an Stickoxiden nötig. Durch eine photochemische Reaktion (unter Einwirkung der Sonne) bildet sich vor allem Ozon, das die Schleimhäute reizt. Die chmische Reaktion, die abläuft, lautet:

Smog kann zur Erkrankung der Atemwege führen. Kreislaufkranke sind einer erhöhten Belastung ausgesetzt. Bei erhöhter Ozonbelastung sollte die körperliche Betätigung eingeschränkt werden.  

 

Sonne

Die Sonne als Zentralgestirn unseres Sonnensystems ist einer der etwa 1011 Sterne, die zu unserer Galaxis, der Milchstrasse gehören. Sie ist die Hauptenergiequelle für das Klima auf der Erde und damit der Antrieb für das Wetter. Die gesamte Ausstrahlung der Sonne wird auf 3.85.1026 W geschätzt. Die Energie, die in einer Distanz von 149.5.106 km bei der Erde ankommt, beträgt noch 1368 W/m2 (Solarkonstante).
Masse der Sonne: 1.99.1030 kg (zum Vergleicht: Masse der Erde = 5.977.1024 kg)
Mittlere Dichte: 1.41.103 kg/m3 (Dichte der Erde: 5.52.103 kg/m3)
Effektive Temperatur: 5780 K
Radius der Photosphäre: 6.96.108 m (Erdradius: 6.38.106 m, mittlere Erde-Mond-Distanz: 3.84.108 m)

Die Sonne besteht aus den Elementen Wasserstoff (H), Helium (He), Lithium (Li), Beryllium (Be), Kohlenstoff (C), Stickstoff (N) und Sauerstoff (O).

Die Energie-Erzeugung geschieht im Kern der Sonne durch Kernfusion. Über dem Kern befindet sich der Sonnenmantel, eine dicke Schicht, innerhalb der die im Kern erzeugte Energie durch Strahlung und Konvektion nach aussen übertragen wird. Der Sonnenmantel wird begrenzt durch die Photosphäre, die unser Auge als eigentliche Sonnenscheibe erkennt. Über der Photosphäre liegt noch die Chromosphäre und die Corona.

Ein interessantes Phänomen der Sonne sind die Sonnenflecken.

 

Sonnenflecken 

Sonnenflecken sind die älteste bekannte Erschinung auf der Sonnenoberfläche. Sie haben eine verhältnissmässig kühlere Oberfläche als die übrigen Teile der Sonne. Die Mitte der Flecken (Umbra) weist eine deutlich dunklere Farbe auf als ihre Umgebung. Sie wird von eine weniger dunklen Fläche (Penumbra) umgeben. Diese Penumbra ist mit einer nochmals etwas helleren Zone (Facula) umgeben. Die Umbra hat eine Temperatur von etwa 4000 - 4500 K, die Penumbra 5400 K und die Facula ist 6500 K heiss. Sonnenflecken besitzen ein starkes magnetisches Feld. Sie sind Gebiete mit reduzierter Konvektion im Sonnenmantel. Ein Sonnenflecken existiert etwa eine Woche.

In Zeiten erhöhter Aktivität weist die Sonne mehr Sonnenflecken auf. Obwohl die Oberflächentemperatur der Sonnenflecken niederiger ist als jene der übrigen Oberfläche der Sonne, ist die Corona zu dieser Zeit aktiver. Darum geht eine erhöhte Anzahl Sonnenflecken einher mit einer Sonne, die mehr Energie ausstrahlt. Alle elf Jahre wird ein Maximum an Sonnenflecken erreicht. Die Erde empfängt dann 1 W/m2 mehr an Strahlung als sonst. 

Standard-Atmosphäre

Insbesondere der Luftverkehr ist stark vom Luftdruck abhängig. Eigenschaften wie Druck, Temperatur oder Temperaturverlauf mit der Höhe unterliegen aber in der Atmosphäre einer zeitlichen Veränderung. Darum haben die USA 1962 die sogenannte Standard-Atmosphäre eingeführt. Diese beschreibt einen mittleren Zustand der Atmosphäre in den gemässigten Breiten:

Luftdruck auf Meeresniveau

1013.25 hPa

Lufttemperatur auf Meeresniveau

15 °C

Tropopausenhöhe

11 km

Temperatur an der Tropopause

-56.5 °C

Temperaturabnahme mit der Höhe

0.65 K/100m

  

Jetstream, Strahlstrom

 

Eine Region knapp unterhalb der Tropopause, in der sehr starke Westwinde wehen. Im Kern des Jets können Windgeschwindigkeiten von 500 km/h erreicht werden. Es gibt zwei Jetstreams pro Erdhalbkugel: Polarfrontjet und Subtropenjet. Sie verlaufen wellenförmig rund um die Erde. Während der Subtropenjet der Nordhalbkugel im Sommer konstant auf 40° Nord und im Winter ebenfalls konstant auf 30° Nord liegt, schwankt der Polarfrontjet von Tag zu Tag von 50° N bis 75° N.
In der Fliegerei werden die Jetstreams ausgenützt, um Treibstoff zu sparen und die Flugdauer zu verkürzen. Dies ist jedoch bloss bei Flügen von West nach Ost möglich. Bei entgegengesetzter Flugrichtung werden die Jets gemieden, da bloss Nachteile resultieren würden.

 

Strahlung

Strahlung ist Energietransport mit Hilfe elektromagnetischer Wellen. So transportierte Energie braucht keinen materiellen Träger und kann darum den luftleeren Raum durchdringen. Sie kann so von einem Himmelskörper zum anderen transportiert werden.

Die Strahlung kann physikalisch beschriben werden durch Wellenlänge ( ) und Frequenz ( ). Die Formel, die diese beiden Grössen verknüpft, lautet:

wobei c0 die Lichtgeschwindigkeit ist (= 2.998•108 m/s).

Man teilt das Strahlungsspektrum nach Wellenlängen (siehe Grafik rechts) bzw. nach Frequenz ein.

Es ist nun glücklicherweise so, dass die grösste Energiemenge, die die Erde von der Sonne erhält, kurzwellige Strahlungsenergie ist. Jene Energie aber, die die Erde und die Atmosphäre abstrahlen liegt im langwelligen Bereich. Diese Tatsache macht man sich zunutze wenn man die Strahlungsbilanz der Erde aufstellt.

 

Stratosphäre

Die Stratosphäre, zusammengesetzt aus "stratum" (aus dem griechischen: Decke) und "sphaira" (griechisch (Erd)kugel), ist eine Schicht der Atmosphäre zwischen Tropopause (in 8 bis 17 km Höhe) und Stratopause (in etwa 50 km Höhe). Die Temperatur bleibt im unteren Teil der Stratosphäre zunächst etwa konstant und nimmt dann mit einem Temperaturgradienten von ungefähr 2.5 K/km zu. Grund für die Zunahme ist die Absorption von Strahlung an Molekülen, insbesondere in der Ozonschicht.

 

Taupunkt     top

Der Taupunkt ist jene Temperatur, auf die ein Luftpaket abgekühlt werden muss, damit Kondensation eintritt. Am Taupunkt herrscht eine Luftfeuchtigkeit von 100%.

Der Taupunkt kann beispielsweise aus relativer Feuchte und Temperatur berechnet werden. Beispiel: Relative Feuchte 50%, Temperatur 0°C. Aus folgender Grafik entnehmen wir, dass der Sättigungsdampfdruck bei 0°C, etwa 6.1 hPa beträgt.

Mit der Formel für die relative Feuchte lässt sich nun der herrschende Dampfdruck e berechnen:


Dampfdruck


Mit E(T) = Sättigungsdampfdruck bei der Temperatur T und r = relative Feuchte in %. Für unser Beispiel erhalten wir einen Dampfdruck von etwa 3 hPa. In der obigen Grafik können wir nun den Taupunkt ablesen, indem wir die 3-hPa-Linie mit der Kurve (Dampfdruck über Wasser) schneiden und die Temperatur an diesem Punkt bestimmen: Etwa -9.5°C.

Es gibt auch eine Näherungsformel, um den Taupunkt (in °C) aus dem Dampfdruck e (in hPa) zu berechnen:


 

 

Temperaturgradient 

Ein Temperaturgradient ist ein Temeperaturunterschied über eine Distanz. Die Änderung kann frei im Raum liegen, also beispielsweise vertikal oder horizontal stattfinden. Der Temperaturgradient hat wie jeder Gradient eine Richtung und eine Grösse und zeigt in Richtung der grössten Änderung und zum grössten Wert hin: Von "kalt" nach "warm."

Temperaturgradienten steuern das Wetter. Sie sind verantwortlich für den thermischen Wind, für die Polarfront-Jetstreams und sie entscheiden über die Bildung von Wolken (adiabatische Schichtung der Atmosphäre). Die Lage der Erde zur Sonne und die Kugelgestalt sind im Wesentlichen verantwortlich für die horizontalen Temperaturgradienten: Der Äquator erhält mehr Energie von der Sonne als die beiden Pole; es entsteht ein vom Pol zum Äquator gerichteter Temperaturgradient. Die Erde versucht diesen Gradienten auszugleichen, indem sie die Energie vom Äquator zu den Polen transportiert, etwa zu gleichen Teilen in der Atmosphäre und in den Ozeanen.

 

Thermosphäre  

Die Thermosphäre, zusammengesetzt aus "thermos" (aus dem Griechischen: warm, heiss) und "sphaira" (griechisch (Erd)kugel), ist ein Stockwerk der Atmosphäre, beginnt in etwa 80 bis 85 km Höhe und reicht bis etwa 500 - 1000 km Höhe. In der Thermosphäre steigt die Temperatur von -90°C auf etwa 1000°C an der Obergrenze der Schicht. Allerdings: Die Obergrenze dieser Schicht (und damit die Grenze der Atmosphäre) ist nicht exakt festzulegen. Die Anzahl Luftmoleküle pro Volumeneinheit nimmt zwar stetig ab; ab welcher Höhe keine Luftmoleküle mehr vorhanden sind, lässt sich aber nicht bestimmen.  

Tief, Tiefdruckgebiet, Zyklone

Gebiet relativ tiefen Luftdrucks. Das Zentrum dieses Gebietes weist dabei den tiefsten Luftdruck auf und ist von mindestens einer geschlossenen Isobare umgeben. Manchmal wird auch der Begriff "Zyklone" verwendet. Eine "Antizyklone" ist ein Hoch, also das Gegenstück zum Tief.

Die Isobaren um Tiefdruckgebiete liegen meist enger zusammen als jene um Hochs. Eine Erklärung findet sich im Kapitel zum Gradientenwind.

Eine Theorie zur Entstehung eines Tiefs soll hier dargestellt werden: Im Süden liegt warme Luft, im Norden kalte. Sie werden von einer Luftmassengrenze getrennt.

An dieser Luftmassengrenze muss zuerst ein Störungsimpuls auftreten (Bild 1). Die kalte und die warme Luft beginnen, sich zu verwirbeln. Die warme Luft strömt nach Norden, die kalte nach Süden. Es bilden sich eine Kaltfront (blau) und eine Warmfront (rot). Das Strömungsfeld gleicht mehr und mehr einem Wirbel, die Isobaren (schwarz) verlaufen um das Zentrum des Tiefs.

Da die Kaltfront sich schneller fortbewegt als die Warmfront, holt sie letztere ein, es bildet sich die Okklusionsfront (violett). Und das Tief zerfällt wieder.

Ein Tiefdruckgebiet kann man sich auch als Lufttal vorstellen. Daneben liegt ein Lufthügel, der das Hoch darstellt. Die Luft, die diese Landschaft bildet, ist bestrebt, diese Hügellandschaft auszugleichen, d.h. sie fliesst aus dem Hoch ab ins Tief. Auf der Nordhalbkugel wird die Luft wegen der Corioliskraft nach rechts abgelenkt. Darum umströmt die abfliessende Luft das Hoch im Uhrzeigersinn und das Tief dann im Gegenuhrzeigersinn. (Auf der Südhalbkugel wird ein Tief im Uhrzeigersinn umweht, ein Hoch dagegen im Gegenuhrzeigersinn, da dort die Corioliskraft nach links wirkt.) Durch das "Fliessen" der Luft entsteht Wind. In Tiefs herrscht grundsätzlich eine Aufwärtsbewegung der Luft. Diese Aufwärtsbewegung führt vor allem an den Fronten eines Tiefs zu Niederschlag.

 

Tornado, Tromben, Wasserhosen

Bei genügend starker Labilität der Luft (unten warm und feucht, oben kalt und dazwischen eine trockene, aber kühle Luftschicht; siehe Kurven in der Grafik), einem bestimmten Grad der Windverschiebung und anderen weniger bekannten Voraussetzungen kann aus einer kräftigen Gewitterwolke im Bereich des stärksten Aufwindes unvermittelt ein Wolkenschlauch nach unten wachsen. Dieser pendelt, einem Elefantenrüssel gleich, über die Landschaft und hinterlässt einen Pfad der Zerstörung.

Der Rüssel umfasst nur einige hundert Meter bis einen Kilometer. In diesem engen Bereich erreicht der Aufwind jedoch Spitzengeschwindigkeiten von bis zu 160 km/h, und die Luft rotiert mit einer Geschwindigkeit von 300 bis 500 km/h um das Wirbelzentrum herum.

Die meisten und auch die kräftigsten Tornados entstehen in den riesigen Weiten des amerikanischen Mittelwestens zwischen den Rocky Mountains und den Appalachen, vorwiegend in den Monaten April bis Juli. In diesen vier Monaten werden jährlich jeweils rund 800 Tornados gesichtet.

Tornados können auch in Mitteleuropa entstehen, jedoch sind hier selten die Bedingungen zur Bildung eines Tornados erfüllt. Aber es sind tatsächlich Fälle von Tromben oder Wasserhosen in Mitteleuropa dokumentiert.  

 

Trog  

Gebiet tiefen Luftdrucks innerhalb der Rückseitenströmung eines kräftigen, bereits zu altern beginnenden Tiefdruckgebietes.
Der aus hochreichender Kaltluft bestehende Trog wandert meist in einem bestimmten Abstand hinter der Kaltfront her.
Tröge zeichnen sich oft durch lebhafte Schauertätigkeit und starke bis stürmische Winde aus.

  

Tropopause 

Die Tropopause ist die Obergrenze der Troposphäre. Sie liegt in einer Höhe von etwa 8 km (über den Polen) bis 17 km (über dem Äquator). Das Wort setzt sich zusammen aus "trope" (aus dem Griechischen: Wende, Kehre, Wendung) und "pauein" (aus dem Griechischen: beendigen). Der Name wurde so gewählt, weil auf dieser Höhe die Temperatur ihre Talfahrt beendet und wieder zu steigen beginnt. Am Äquator liegt die Troposphäre höher, da dort wegen der starken Sonneneinstrahlung hochreichende Konvektion stattfindet.

 

Troposphäre

Die Troposphäre, zusammengesetzt aus "trope" (aus dem Griechischen: Wende, Kehre, Wendung) und "sphaira" (griechisch (Erd)kugel), ist eine Schicht der Atmosphäre, zwischen Erdoberfläche und der Tropopause (in 8 bis 17 km Höhe). Die Temperatur sinkt von etwa 15°C am Boden (gemäss Standard-Atmosphäre) auf etwa -56°C. Der Temperaturgradient beträgt im Durchschnitt 6.5 K/km.

Die Troposphäre ist die Wetterschicht. Hier ist fast der gesamte Wasserdampf der Atmosphäre versammelt, hier finden wir etwa 3/4 der gesamten Masse der Atmosphäre.

 

Treibhauseffekt   

Unter Treibhauseffekt versteht man das Vermögen atmosphärischer Gase (bevorzugt Wasserdampf und Kohlendioxid), die von der Erdoberfläche in den Weltraum hinausgehende langwellige Wärmestrahlung der Erde zurück in Richtung Erdoberfläche zu reflektieren. Ohne diesen (natürlichen) Treibhauseffekt würden wir erfrieren.

 

Ultraviolette Strahlung (UV-Strahlung) top

Bezeichnung

Wellenlänge

EUV, extrem kurzwellig

0.001 - 0.100µm

UV C

0.100 - 0.280µm

UC B

0.280 - 0.315µm

UV A

0.315 - 0.400µm

 

 

 

 

 

Strahlung mit der Wellenlänge von 0.001µm bis 0.4µm. Man unterscheidet nebenestehende Bereiche. Für das Leben auf der Erde sind die EUV- und die UVC-Strahlen schädlich. Die Ozonschicht absorbiert aber einen grossen Teil dieser Strahlung der Sonne.

 

 

Warmfront   top

WarmfrontFront, an der wärmere Luft gegen kältere vordringt. Im Gegensatz zur Kaltfront tritt hier vor allem ein Typ auf: Die Aufgleitfront. Abgleitfronten sind höchst selten. Warmfronten haben eine Neigung von einem Meter auf 100 bis 400 Meter. Fronten sind oft mit typischer Bewölkung verbunden.

 

 

Warmluftadvektion

Warmluftadvektion bedeutet heranführen von warmer Luft. Aufgrund der Überlegungen mit dem thermischen Wind dreht der geostrophe Wind bei Warmluftadvektion mit der Höhe im Uhrzeigersinn (z.B.: auf 1500 m.ü.M. Westwind, auf 5000 m.ü.M Nordwestwind)

 

Wasserdampf

Wasserdampf ist gasförmiges Wasser. Es gelangt durch Verdunsten von Wasseroberflächen (v.a. Meer) in die Atmosphäre. Dort kondensiert es an Kondensationskeimen (Salze, Russpartikel, etc.) zu Wolkentröpfchen. Wasserdampf in der Luft ist für das menschliche Auge unsichtbar. Erst das kondensierte Wasser der Wolkentröpfchen nehmen wir als Wolke war.

  

Wetter

Der physikalische Zustand der Atmosphäre an einem bestimmten Ort zu einem bestimmten Zeitpunkt wird mit Wetter bezeichnet. Dieser Zustand wird angegeben durch physikalische Grössen wie Druck, Temperatur oder Windstärke. Das Wetter spielt sich in der Troposphäre ab, der untersten Schicht der Atmosphäre. Betrachtet man das Wetter über grössere Zeiträume, spricht man von Klima. Spricht man vom Wetter während einigen Tagen, meint man Witterung.

  

Wetterleuchten

Wenn sich Blitze innerhalb von Wolken oder hinter dem Horizont entladen, sind sie für das menschliche Auge nicht direkt sichtbar. Sie beleuchten aber die Wolken und den Himmel. Dieses Aufleuchten wird mit Wetterleuchten bezeichnet. Der nachfolgende Donner ist an der Beobachtungsstation nicht hörbar.

  

Wind: Entstehung und Vorhersage

Wind ist bewegte Luft. Luft setzt sich in Bewegung, wenn ein Druckgradient herrscht, denn die Atmosphäre ist bestrebt, Druckunterschiede möglichst auszugleichen: Ein Hochdruckgebiet wird abgebaut, die Luft fliesst daraus ab, und ein Tief wird damit aufgefüllt. Dieses "Fliessen" der Luft ist Wind.

Falls die Luft weder beschleunigt noch abgebremst wird, stehen folgende Kräfte in einem Gleichgewicht: Die Druckgradientenkraft (P) bringt das Luftteilchen zum Abfliessen aus dem Hoch in ein Tief. Sie zeigt immer zum Punkt mit dem tiefsten Druck.

Die Corioliskraft (C) lenkt auf der Nordhalbkugel alle Teilchen, die sich bewegen, bezüglich der Erdoberfläche nach rechts ab: Die Luftteilchen umströmen Hoch und Tief in einer Spiralbewegung.

Die Zentrifugalkraft (Fz): Weil sich die Luftteilchen in einer Art Kreisbewegung um Hochs und Tiefs bewegen, wirkt auf sie eine Kraft, die sie vom Zentrum des Kreises wegdrückt. Diese Kraft ist die bekannte Zentrifugalkraft.

Die Gravitationskraft (die Kraft, die die Luftteilchen zum Erdboden hin zieht) ist, verglichen mit den obigen Kräften, sehr sehr klein und kann vernachlässigt werden.

Wenn die Isobaren ungefähr gerade sind, wird für die Prognose als Annäherung mit dem geostrophischen Wind gerechnet. Sind die Isobaren aber gekrümmt (was in der Natur der Normalfall ist), brauchen wir den Gradientenwind. Der Unterschied zum geostrophischen Wind ist, dass beim Gradientenwind zusätzlich noch die Zentrifugalkraft wirkt, weil die Isobaren gekrümmt sind und sich die Luft deshalb nicht geradlinig bewegt.

Für Wind unterhalb 1500 Metern über Grund darf die Bodenreibung nicht vernachlässigt werden. Die Luftteilchen werden vom Boden abgebremst, die Luftströmung wird turbulent. Dadurch kann die mittlere Windrichtung einen Ablenkungswinkel von bis zu 38 Grad von der geostrophen Windrichtung aufweisen. Die Ablenkung geschieht auf der Nordhalbkugel nach links, wenn man in Bewegungsrichtung des Teilchens blickt.

Die Menschen haben verschiedenen Winden in ihrer Region Namen gegeben: Föhn, Bise, Scirocco, Bora, etc.

 

Wind-Chill-Index

Der Wind-Chill-Index gibt an, welche Temperatur der Mensch bei einer gewissen Windgeschwindigkeit und Lufttemperatur tatsächlich fühlt. Der menschliche Körper produziert Wärme und umgibt seine Haut mit einer dünnen Schicht warmer Luft. Je stärker der Wind bläst, desto schwächer wird die Wärmeschicht und desto mehr kalte Luftmoleküle treffen auf die Haut. Der Körper vermag nicht mehr, genügend Wärme nachzuliefern, um die für den menschlichen Körper nötige Wärme aufrecht zu erhalten: Wir beginnen zu zittern und zu schlottern.

Entwickelt wurde der Wind-Chill-Index von den Antarktiserforschern Siple und Passel. Sie ermittelten die Zeit, die sie brauchten, um 250 Gramm Wasser bei verschiedenen Wind-Temperatur-Bedingungen zu gefrieren. Sie entwickelten folgende Formel:

T(wc) = 0.045(5.27v0.5 + 10.45 - 0.28v)(T - 33) + 33

T(wc)

= gefühlte Temperatur

v

= Windgeschwindigkeit in km/h (muss grösser als 0 sein)

T

= Lufttemperatur in ° C

Dies ergibt folgende Tabelle:

Wind
in km/h

                    Lufttemperatur in °C
   +5       0    -5   -10  -15  -20  -25   -30  -35  -40

7

   +5       0    -5  -10  -15  -20  -25  -30  -35  -40

19

   -3      -9  -16  -22  -28  -34  -41  -47  -53  -59

28

   -6    -13  -21  -27  -34  -40  -48  -55  -61  -68

37

   -8    -16  -24  -30  -37  -44  -52  -60  -66  -74

46

 -10    -18  -26  -32  -39  -47  -55  -63  -70  -78

56

 -11    -19  -28  -34  -41  -49  -57  -65  -73  -81

65

 -12    -20  -29  -35  -42  -50  -58  -66  -74  -82

74

 -12    -20  -29  -35  -42  -50  -58  -66  -74  -82

  

Windgeschwindigkeiten  

Windgeschwindigkeiten können in verschiedenen Einheiten angegeben werden. Die SI-Einheit ist "Meter pro Sekunde" (m/s). In der Schiffahrt und teilweise auch noch in der Meteorologie gebräuchlich sind "Knoten" (kn). Im Volksmund wird "Kilometer pro Stunde" (km/h) verwendet (oft fälschlicherweise als "Stundenkilometer" ausgesprochen). Für die Bestimmung des Windes von Auge ohne Hilfsmittel eignet sich die Beaufortskala.

1 kn ungefähr0.5144 m/s
1 kn ungefähr1852 m/h
1 kn ungefähr1.852 km/h
1 km/h = 0.277 m/s
1 km/h ungefähr0.54 kn
1 m/s ungefähr3.6 km/h
1 m/s ungefähr1.94 kn

 

Witterung  

Unter Witterung versteht man den allgemeinen durchschnittlichen Wettercharakter, betrachtet über einen Zeitraum von einigen Tagen bis zu einer Jahreszeit. Witterung ist ein Mittelding zwischen Wetter und Klima .

 

Wolken  

Eine Wolke ist eine für das menschliche Auge sichtbare Anhäufung von in der Luft schwebenden Eisteilchen oder Wolkentröpfchen. Diese Tröpfchen sind maximal 0.1 Millimeter gross. Sind sie grösser, handelt es sich um Regentropfen. In einer Wolke sind etwa 108 Wolkentröpfchen pro m3 enthalten.

Liegt die Temperatur der Wolke unter -12° C, spricht man von einer Mischwolke, da in ihr sowohl gefrorene als auch flüssige Wasserteilchen vorkommen. Liegt die Temperatur unter -35° C, ist es eine Eiswolke. Sehr hohe Wolken (Cirren auf 8000m Höhe) sind Eiswolken.

 

Zirkulation     top

Die [aus lat. circu(m)latio = Kreislauf] allgemeine Bezeichnung für eine in sich geschlossene ringförmige Luftströmung.
Zirkulationen sind oft mit Vertikalbewegungen verbunden und treten in ganz verschiedenen Grössenordnungen auf. So gibt es lokale und regionale Windsysteme die Zirkulationen darstellen, etwa die Berg- und Talwind- oder die Land- und Seewindzirkulation.
Im grösseren Maßstab erfolgt die Zirkulation in Hoch- und Tiefdruckgebieten. Die globalen mittleren Strömungsverhältnisse bezeichnet man als allgemeine Zirkulation der Atmosphäre.

 

Zwischenhoch

Ein Zwischenhoch ist eine Zone relativ hohen Luftdrucks zwischen zwei Tiefdruckgebieten. Es ist gekennzeichnet durch eine kurzzeitige Aufheiterung nach dem Durchgang einer Kaltfront oder Okklusion. Je nach Verlagerungsgeschwindigkeit der Tiefs dauert diese Schönwetterphase nur einen Tag oder weniger lang. Im Zwischenhoch treten grosse Temperaturunterschiede zwischen Tag und Nacht auf (starke Ausstrahlung während der Nacht).